🇳🇴 🇬🇧 🇩🇪 🇨🇿 🇫🇮

Meteor Hovin yllä 2024-11-27 23:13:58 UTC

KML-tiedosto  |  Interaktiivinen kartta

Kartta näyttää meteorin suuntahavainnot. Vaaleammat viivat näyttävät suunnat havaintoasemilta meteorin ilmestyessä, ja tummemmat viivat näyttävät, missä se viimeksi nähtiin. Sininen nuoli näyttää meteorin näkyvän lennon.

static map
height profile
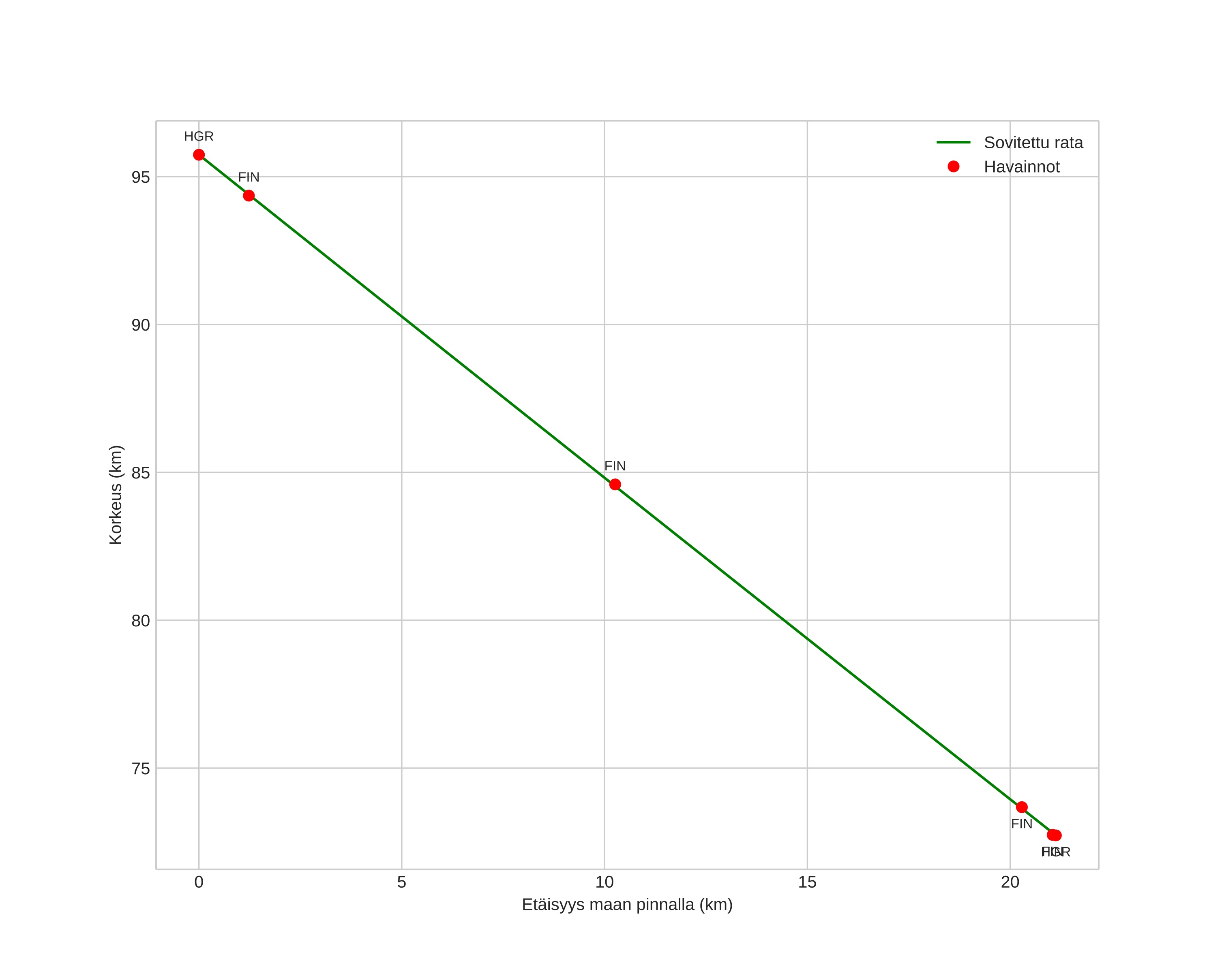
Meteorin ilmakehärata:
Alkukorkeus: 96,8 km
Loppukorkeus: 72,7 km
Alkupiste: 60,385N 10,411E
Loppupiste: 60,584N 10,386E
Suunta: 356,5°
Kallistuskulma: 47,5°
Tulonopeus: 25,6 km/s
Radiantin R,A,: 04:31 (67,8°)
Radiantin Dekl,: 15,4°
Meteoriparvi: Pohjoiset tauridit
Meteoroidin rataelementit:
Perihelietäisyys: 0,534 AU
Eksentrisyys: 0,756
Inklinaatio: 5,0°
Nousevan solmun pituus: 65,9°
Perihelin argumentti: 93,7°
Keskianomalia: 346,4°
Epookki: 2024 NOV 27 23:13:58
orbit plot

Ei-interaktiivinen kuvaaja | Interaktiivinen kuvaaja

position vs time
speed and acceleration

Finnskogen (FIN) cam4


gnomonic
Videot:
• Gnomoninen
• Gnomoninen koordinaateilla
• Alkuperäinen
• Alkuperäinen koordinaateilla
Kuvat:
• Gnomoninen
• Gnomoninen koordinaateilla
• Alkuperäinen
• Alkuperäinen koordinaateilla
Tekstitiedostot:
• Havaintoraportti
• Observaatio
• Koordinaatit
• Loki
Kirkkaus