🇳🇴 🇬🇧 🇩🇪 🇨🇿 🇫🇮

Meteor, poloha: Hopen 2024-11-28 01:10:26 UTC

Soubor KML  |  InteraktivnĂ­ mapa

Mapa zobrazuje dráhy meteoru. Světlejší čáry ukazují směry od pozorovacích stanic při objevení se meteoru a tmavší čáry, kde byl naposledy viděn. Modrá šipka značí viditelnou dráhu meteoru.

static map
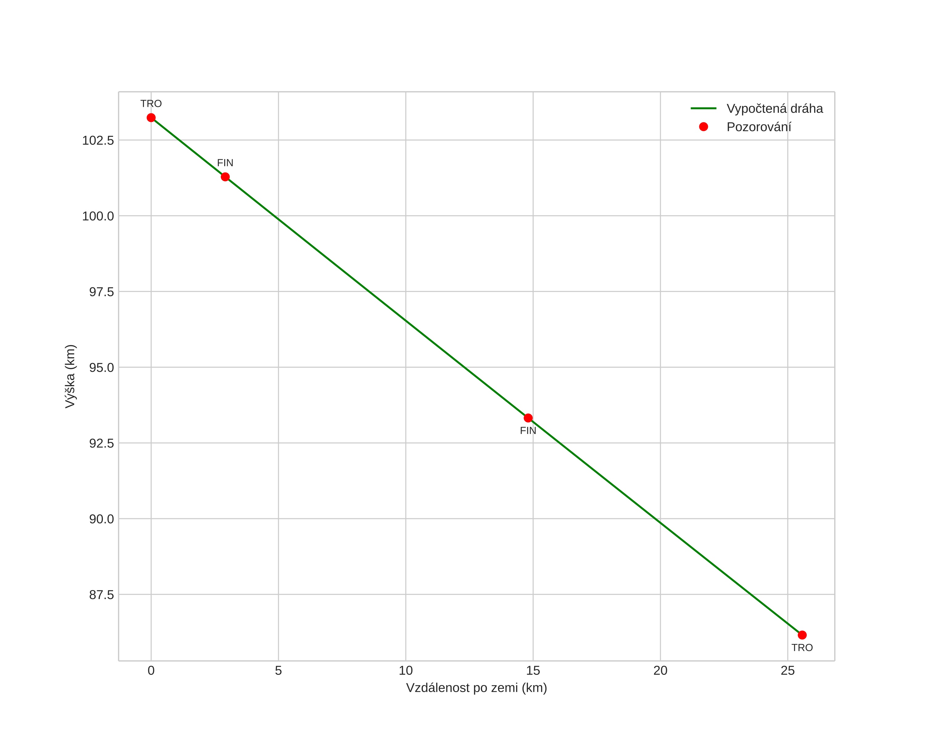
height profile
Atmosférická dráha meteoru:
Počáteční výška: 104,7 km
Konečná výška: 83,0 km
Počáteční poloha: 63,882N 7,689E
Konečná poloha: 64,130N 7,365E
Směr: 330,3°
Sklon: 34,3°
VstupnĂ­ rychlost: 60,4 km/s
Rektascenze radiantu: 07:47 (116,9°)
Deklinace radiantu: 10,5°
MeteorickĂ˝ roj: sporadickĂ˝
Elementy dráhy meteoroidu:
Vzdálenost v periheliu: 0,189 AU
Excentricita: 0,982
Sklon dráhy: 144,4°
Délka vzestupného uzlu: 65,9°
Argument perihelia: 129,2°
Střední anomálie: 359,0°
Epocha: 2024 NOV 28 01:10:26
orbit plot

NeinteraktivnĂ­ graf | InteraktivnĂ­ graf

position vs time
speed and acceleration