🇳🇴 🇬🇧 🇩🇪 🇨🇿 🇫🇮

Meteor Hopenin yllä 2024-11-28 01:10:26 UTC

KML-tiedosto  |  Interaktiivinen kartta

Kartta näyttää meteorin suuntahavainnot. Vaaleammat viivat näyttävät suunnat havaintoasemilta meteorin ilmestyessä, ja tummemmat viivat näyttävät, missä se viimeksi nähtiin. Sininen nuoli näyttää meteorin näkyvän lennon.

static map
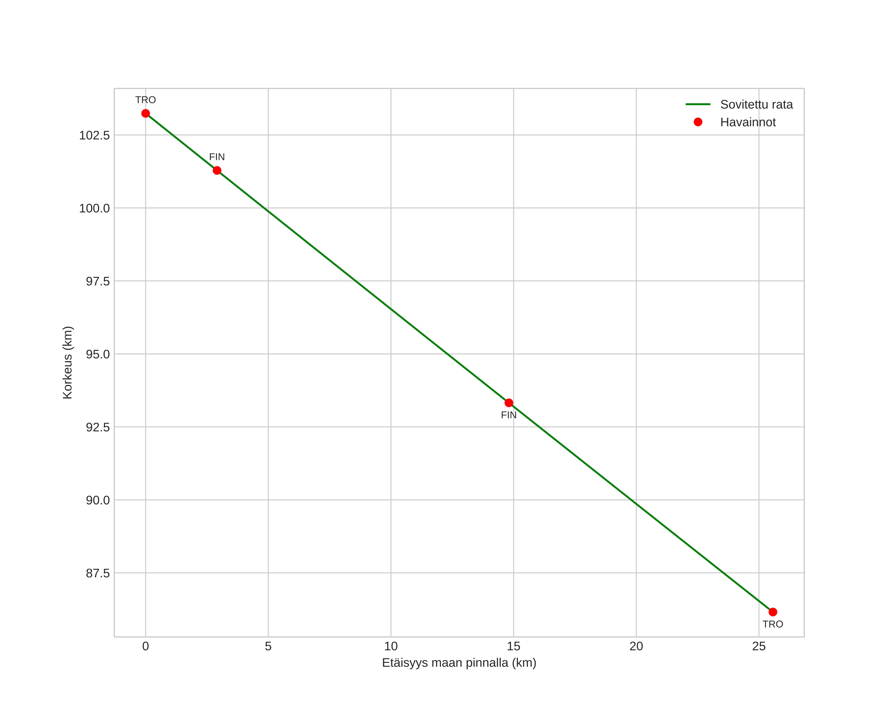
height profile
Meteorin ilmakehärata:
Alkukorkeus: 104,7 km
Loppukorkeus: 83,0 km
Alkupiste: 63,882N 7,689E
Loppupiste: 64,130N 7,365E
Suunta: 330,3°
Kallistuskulma: 34,3°
Tulonopeus: 60,4 km/s
Radiantin R,A,: 07:47 (116,9°)
Radiantin Dekl,: 10,5°
Meteoriparvi: Sporadinen
Meteoroidin rataelementit:
Perihelietäisyys: 0,189 AU
Eksentrisyys: 0,982
Inklinaatio: 144,4°
Nousevan solmun pituus: 65,9°
Perihelin argumentti: 129,2°
Keskianomalia: 359,0°
Epookki: 2024 NOV 28 01:10:26
orbit plot

Ei-interaktiivinen kuvaaja | Interaktiivinen kuvaaja

position vs time
speed and acceleration

Finnskogen (FIN) cam1


gnomonic
Videot:
• Gnomoninen
• Gnomoninen koordinaateilla
• Alkuperäinen
• Alkuperäinen koordinaateilla
Kuvat:
• Gnomoninen
• Gnomoninen koordinaateilla
• Korjaamaton gnomoninen merkinnöillä
• Alkuperäinen
• Alkuperäinen koordinaateilla
Tekstitiedostot:
• Havaintoraportti
• Observaatio
• Koordinaatit
• Loki
Kirkkaus