🇳🇴 🇬🇧 🇩🇪 🇨🇿 🇫🇮

Meteor, poloha: Arvika 2024-11-28 01:40:05 UTC

Soubor KML  |  InteraktivnĂ­ mapa

Mapa zobrazuje dráhy meteoru. Světlejší čáry ukazují směry od pozorovacích stanic při objevení se meteoru a tmavší čáry, kde byl naposledy viděn. Modrá šipka značí viditelnou dráhu meteoru.

static map
height profile
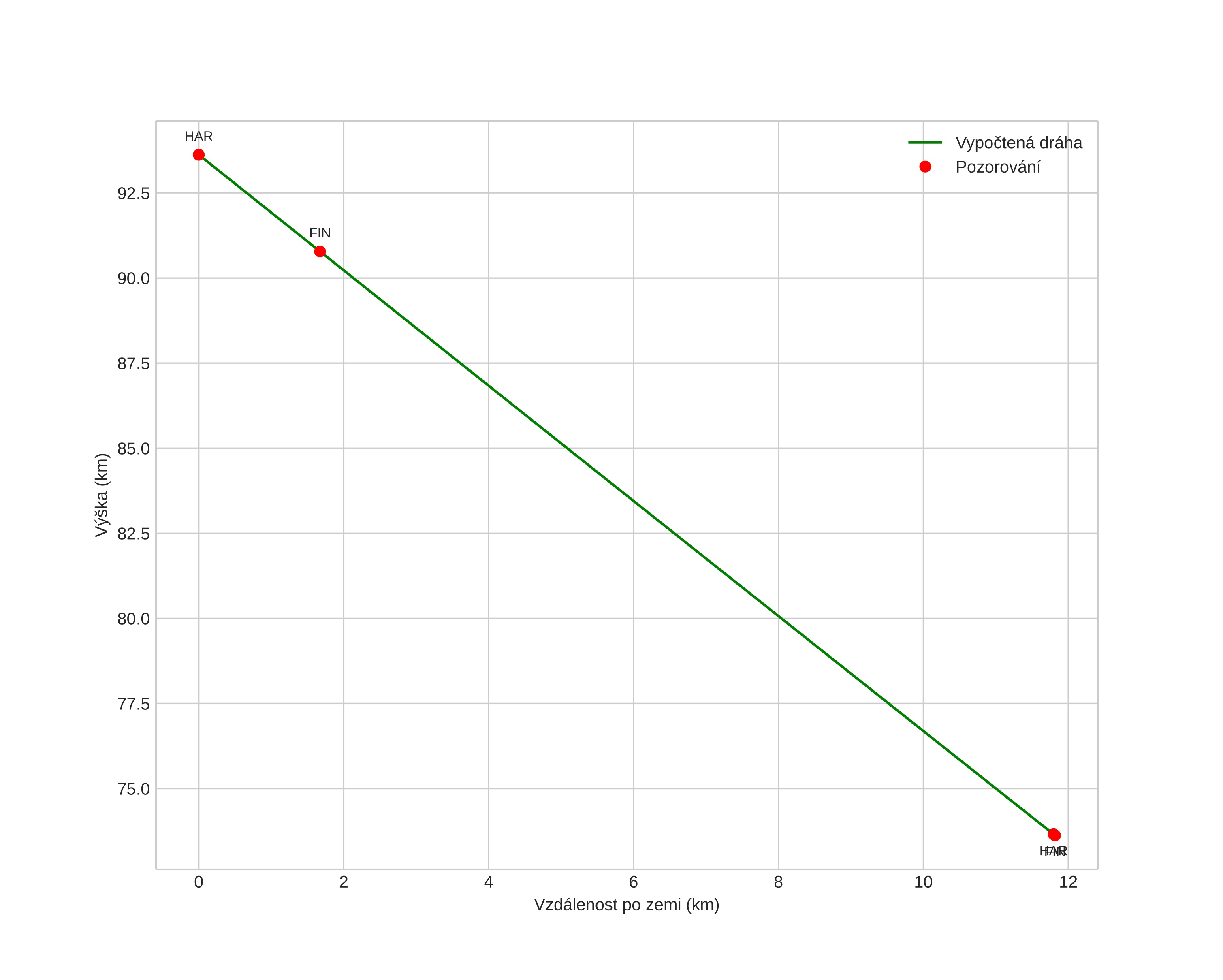
Atmosférická dráha meteoru:
Počáteční výška: 95,4 km
Konečná výška: 73,5 km
Počáteční poloha: 59,337N 12,500E
Konečná poloha: 59,408N 12,677E
Směr: 51,6°
Sklon: 59,7°
VstupnĂ­ rychlost: 32,2 km/s
Rektascenze radiantu: 04:57 (74,4°)
Deklinace radiantu: 34,5°
MeteorickĂ˝ roj: sporadickĂ˝
Elementy dráhy meteoroidu:
Vzdálenost v periheliu: 0,375 AU
Excentricita: 0,878
Sklon dráhy: 14,2°
Délka vzestupného uzlu: 246,0°
Argument perihelia: 289,0°
Střední anomálie: 352,6°
Epocha: 2024 NOV 28 01:40:05
orbit plot

NeinteraktivnĂ­ graf | InteraktivnĂ­ graf

position vs time
speed and acceleration