🇳🇴 🇬🇧 🇩🇪 🇨🇿 🇫🇮

Meteor Arvikan yllä 2024-11-28 01:40:05 UTC

KML-tiedosto  |  Interaktiivinen kartta

Kartta näyttää meteorin suuntahavainnot. Vaaleammat viivat näyttävät suunnat havaintoasemilta meteorin ilmestyessä, ja tummemmat viivat näyttävät, missä se viimeksi nähtiin. Sininen nuoli näyttää meteorin näkyvän lennon.

static map
height profile
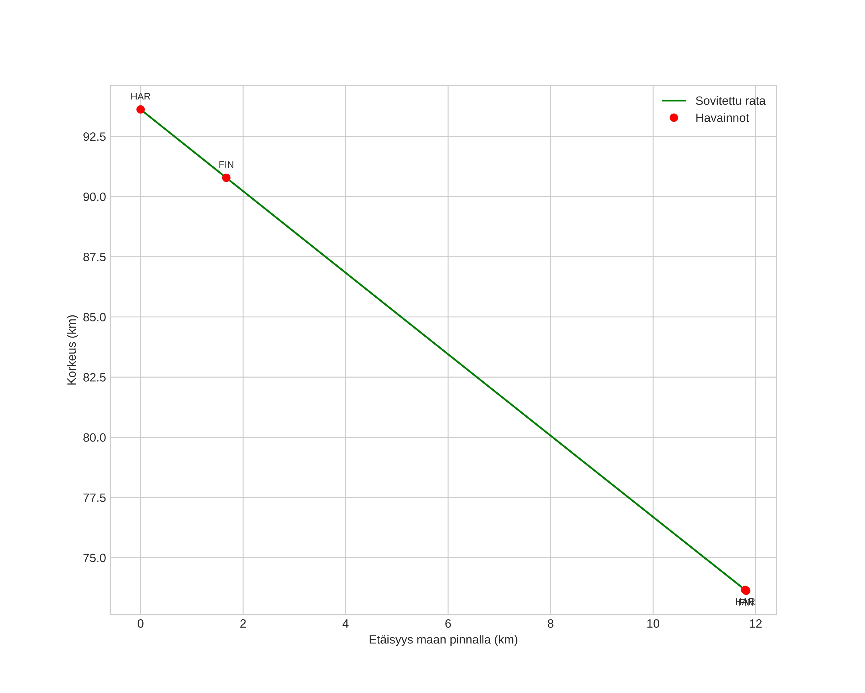
Meteorin ilmakehärata:
Alkukorkeus: 95,4 km
Loppukorkeus: 73,5 km
Alkupiste: 59,337N 12,500E
Loppupiste: 59,408N 12,677E
Suunta: 51,6°
Kallistuskulma: 59,7°
Tulonopeus: 32,2 km/s
Radiantin R,A,: 04:57 (74,4°)
Radiantin Dekl,: 34,5°
Meteoriparvi: Sporadinen
Meteoroidin rataelementit:
Perihelietäisyys: 0,375 AU
Eksentrisyys: 0,878
Inklinaatio: 14,2°
Nousevan solmun pituus: 246,0°
Perihelin argumentti: 289,0°
Keskianomalia: 352,6°
Epookki: 2024 NOV 28 01:40:05
orbit plot

Ei-interaktiivinen kuvaaja | Interaktiivinen kuvaaja

position vs time
speed and acceleration