🇳🇴 🇬🇧 🇩🇪 🇨🇿 🇫🇮

Meteor, poloha: Bjørkelangen 2024-11-28 04:21:10 UTC

Soubor KML  |  Interaktivní mapa

Mapa zobrazuje dráhy meteoru. Světlejší čáry ukazují směry od pozorovacích stanic při objevení se meteoru a tmavší čáry, kde byl naposledy viděn. Modrá šipka značí viditelnou dráhu meteoru.

static map
height profile
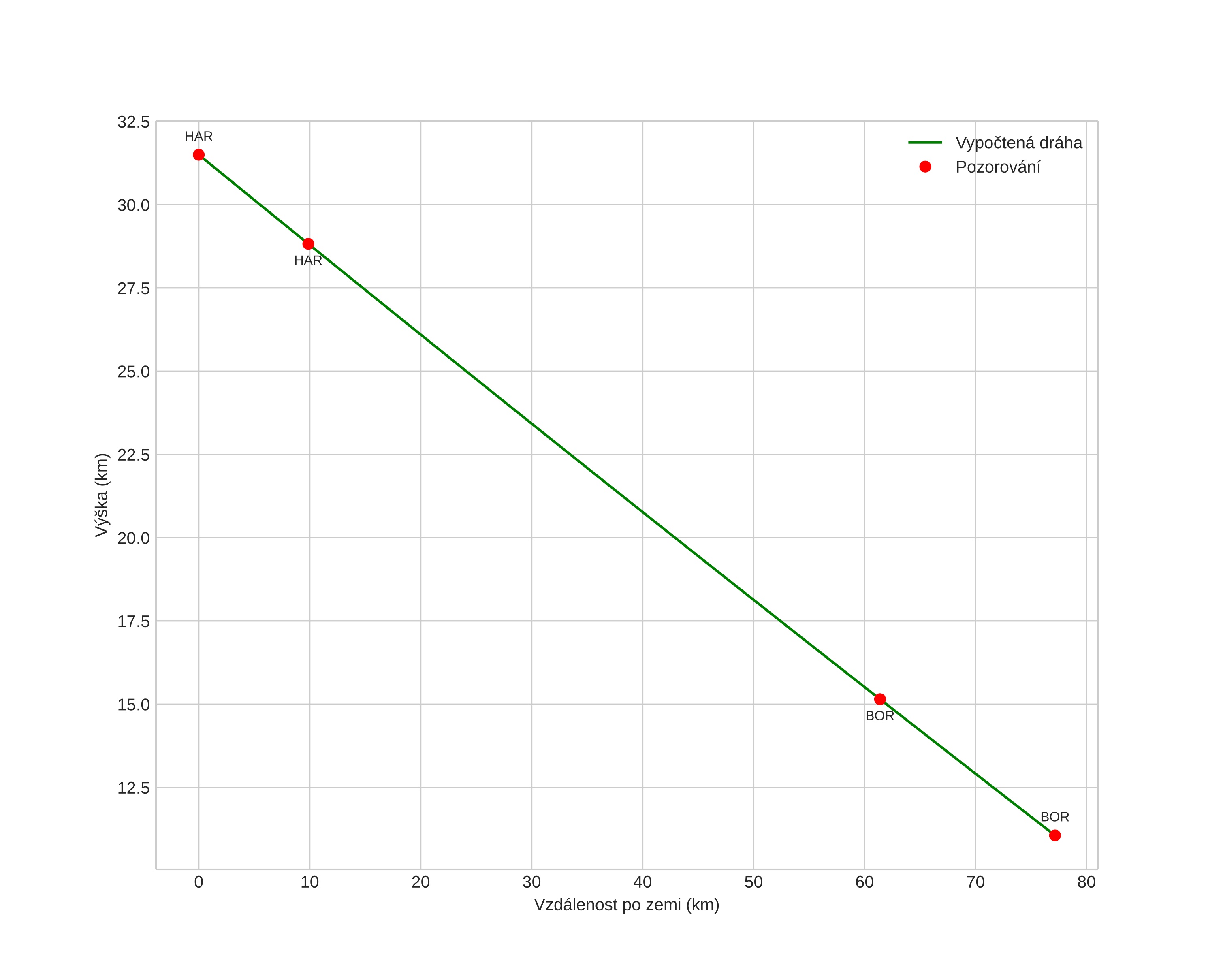
Atmosférická dráha meteoru:
Počáteční výška: 31,5 km
Konečná výška: 11,1 km
Počáteční poloha: 59,978N 10,478E
Konečná poloha: 59,845N 11,837E
Směr: 100,5°
Sklon: 14,8°
Vstupní rychlost: 5,8 km/s
position vs time
speed and acceleration