🇳🇴 🇬🇧 🇩🇪 🇨🇿 🇫🇮

Meteor über Bjørkelangen 2024-11-28 04:21:10 UTC

KML-Datei  |  Interaktive Karte

Die Karte zeigt die Peilungen für den Meteor. Die helleren Linien zeigen die Richtungen von den Beobachtungsorten beim Erscheinen des Meteors, und die dunkleren Linien, wo er zuletzt gesehen wurde. Der blaue Pfeil zeigt die sichtbare Bahn des Meteors.

static map
height profile
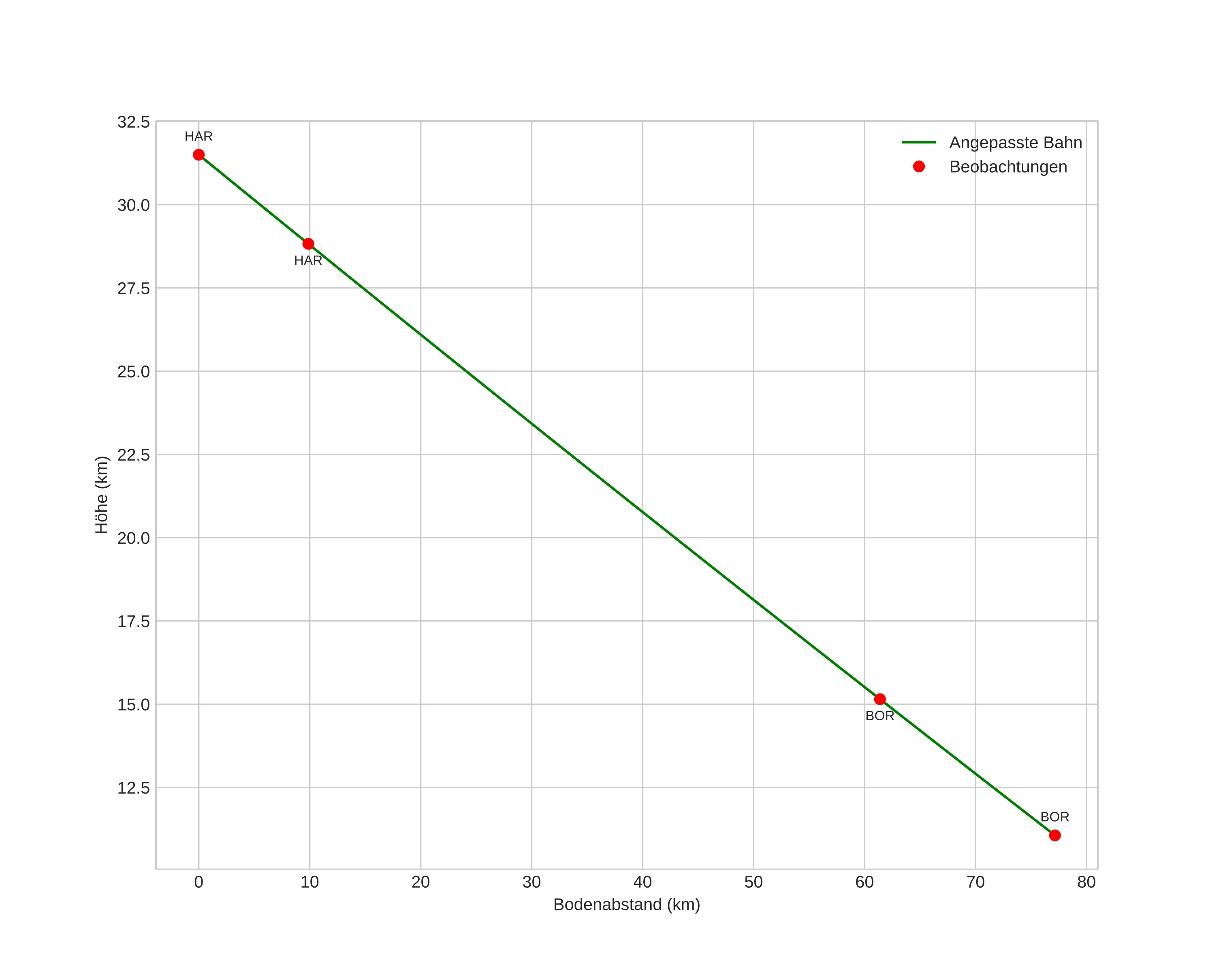
Atmosphärische Bahn des Meteors:
Anfangshöhe: 31,5 km
Endhöhe: 11,1 km
Startposition: 59,978N 10,478E
Endposition: 59,845N 11,837E
Richtung: 100,5°
Neigungswinkel: 14,8°
Eintrittsgeschwindigkeit: 5,8 km/s
position vs time
speed and acceleration