🇳🇴 🇬🇧 🇩🇪 🇨🇿 🇫🇮

Meteor, poloha: Sande 2024-11-28 05:31:21 UTC

Soubor KML  |  InteraktivnĂ­ mapa

Mapa zobrazuje dráhy meteoru. Světlejší čáry ukazují směry od pozorovacích stanic při objevení se meteoru a tmavší čáry, kde byl naposledy viděn. Modrá šipka značí viditelnou dráhu meteoru.

static map
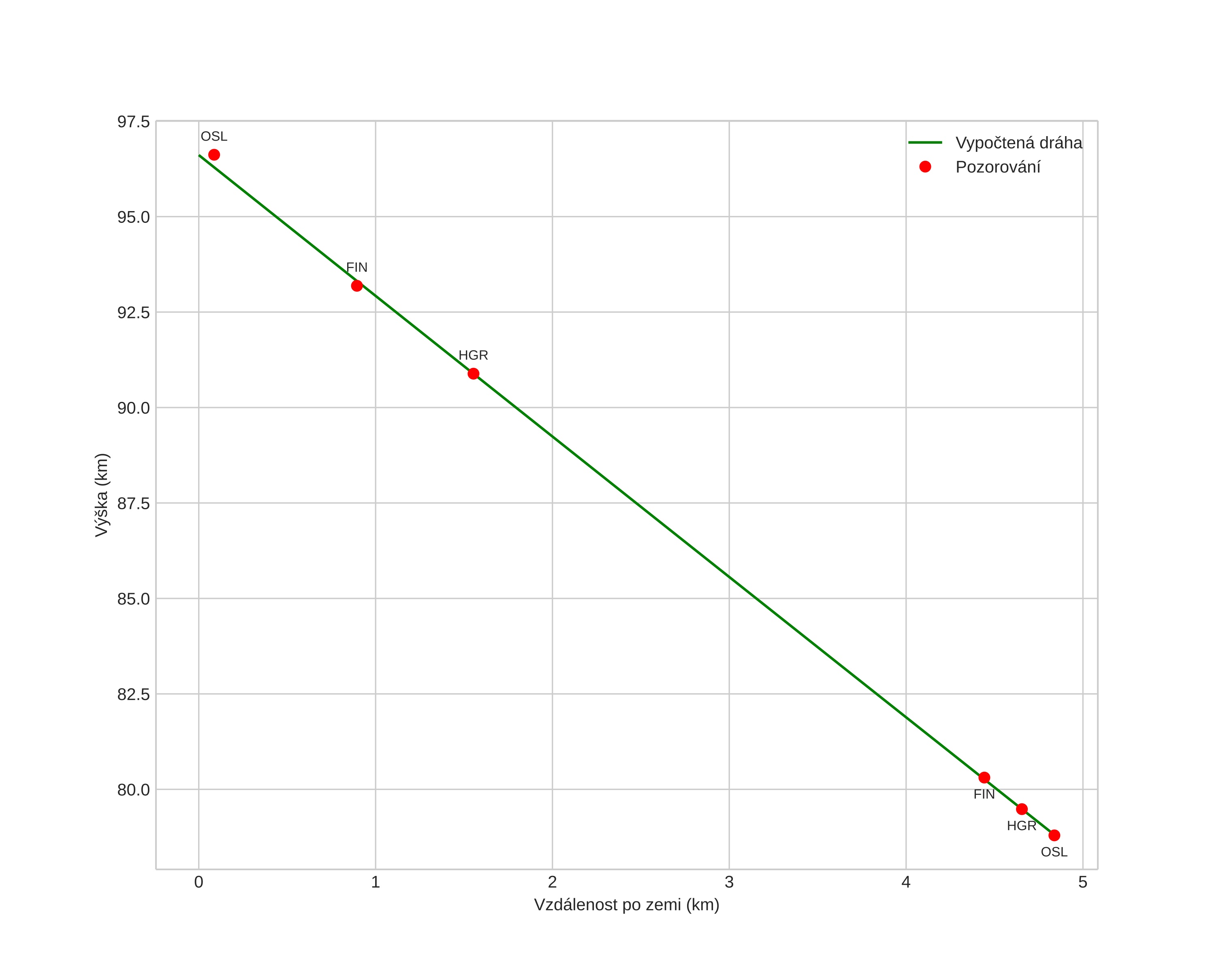
height profile
Atmosférická dráha meteoru:
Počáteční výška: 97,0 km
Konečná výška: 79,0 km
Počáteční poloha: 59,651N 10,315E
Konečná poloha: 59,630N 10,239E
Směr: 241,4°
Sklon: 75,0°
VstupnĂ­ rychlost: 45,4 km/s
Rektascenze radiantu: 12:43 (190,9°)
Deklinace radiantu: 63,8°
MeteorickĂ˝ roj: sporadickĂ˝
Elementy dráhy meteoroidu:
Vzdálenost v periheliu: 0,974 AU
Excentricita: 0,663
Sklon dráhy: 78,3°
Délka vzestupného uzlu: 246,1°
Argument perihelia: 194,3°
Střední anomálie: 357,8°
Epocha: 2024 NOV 28 05:31:21
orbit plot

NeinteraktivnĂ­ graf | InteraktivnĂ­ graf

position vs time
speed and acceleration