🇳🇴 🇬🇧 🇩🇪 🇨🇿 🇫🇮

Meteor Sanden yllä 2024-11-28 05:31:21 UTC

KML-tiedosto  |  Interaktiivinen kartta

Kartta näyttää meteorin suuntahavainnot. Vaaleammat viivat näyttävät suunnat havaintoasemilta meteorin ilmestyessä, ja tummemmat viivat näyttävät, missä se viimeksi nähtiin. Sininen nuoli näyttää meteorin näkyvän lennon.

static map
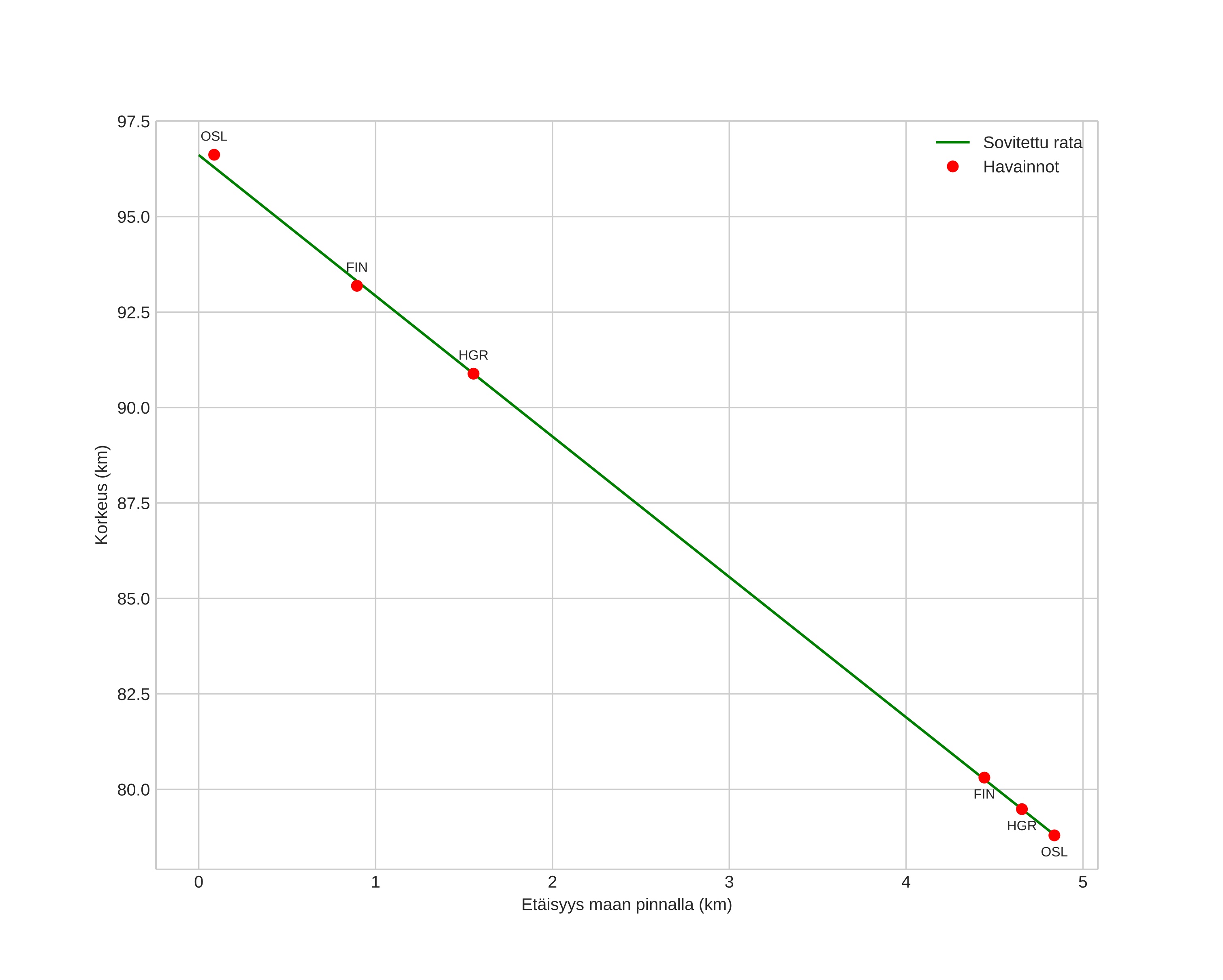
height profile
Meteorin ilmakehärata:
Alkukorkeus: 97,0 km
Loppukorkeus: 79,0 km
Alkupiste: 59,651N 10,315E
Loppupiste: 59,630N 10,239E
Suunta: 241,4°
Kallistuskulma: 75,0°
Tulonopeus: 45,4 km/s
Radiantin R,A,: 12:43 (190,9°)
Radiantin Dekl,: 63,8°
Meteoriparvi: Sporadinen
Meteoroidin rataelementit:
Perihelietäisyys: 0,974 AU
Eksentrisyys: 0,663
Inklinaatio: 78,3°
Nousevan solmun pituus: 246,1°
Perihelin argumentti: 194,3°
Keskianomalia: 357,8°
Epookki: 2024 NOV 28 05:31:21
orbit plot

Ei-interaktiivinen kuvaaja | Interaktiivinen kuvaaja

position vs time
speed and acceleration