🇳🇴 🇬🇧 🇩🇪 🇨🇿 🇫🇮

Meteor, poloha: Ă…len 2024-11-28 05:35:30 UTC

Soubor KML  |  InteraktivnĂ­ mapa

Mapa zobrazuje dráhy meteoru. Světlejší čáry ukazují směry od pozorovacích stanic při objevení se meteoru a tmavší čáry, kde byl naposledy viděn. Modrá šipka značí viditelnou dráhu meteoru.

static map
height profile
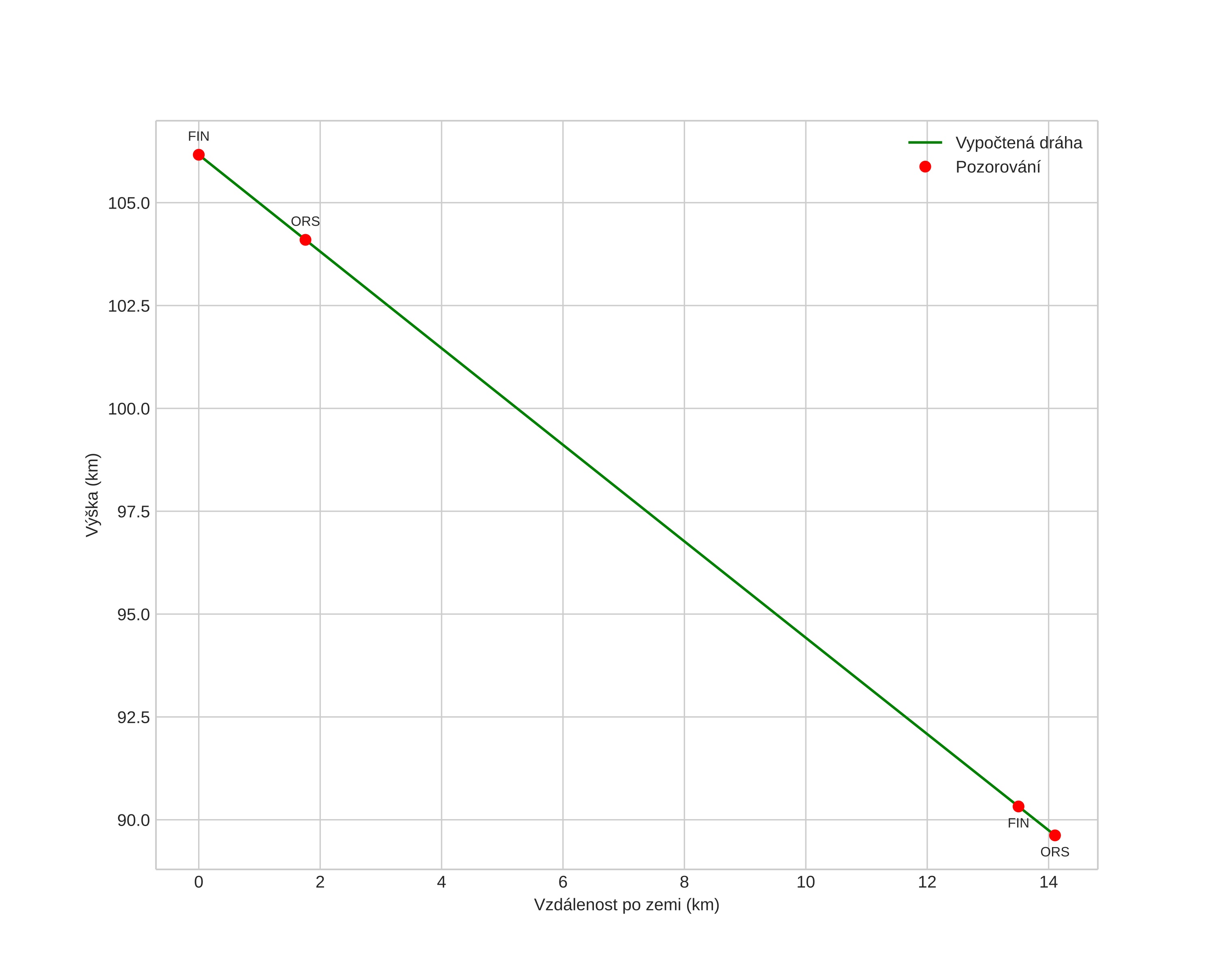
Atmosférická dráha meteoru:
Počáteční výška: 106,3 km
Konečná výška: 87,5 km
Počáteční poloha: 62,861N 11,008E
Konečná poloha: 62,965N 11,227E
Směr: 43,7°
Sklon: 49,6°
VstupnĂ­ rychlost: 69,7 km/s
Rektascenze radiantu: 08:45 (131,4°)
Deklinace radiantu: 27,3°
MeteorickĂ˝ roj: sporadickĂ˝
Elementy dráhy meteoroidu:
Vzdálenost v periheliu: 0,483 AU
Excentricita: 1,166
Sklon dráhy: 159,6°
Délka vzestupného uzlu: 246,1°
Argument perihelia: 267,0°
Střední anomálie: -6,9°
Epocha: 2024 NOV 28 05:35:30
orbit plot

NeinteraktivnĂ­ graf | InteraktivnĂ­ graf

position vs time
speed and acceleration