🇳🇴 🇬🇧 🇩🇪 🇨🇿 🇫🇮

Meteor Ålenin yllä 2024-11-28 05:35:30 UTC

KML-tiedosto  |  Interaktiivinen kartta

Kartta näyttää meteorin suuntahavainnot. Vaaleammat viivat näyttävät suunnat havaintoasemilta meteorin ilmestyessä, ja tummemmat viivat näyttävät, missä se viimeksi nähtiin. Sininen nuoli näyttää meteorin näkyvän lennon.

static map
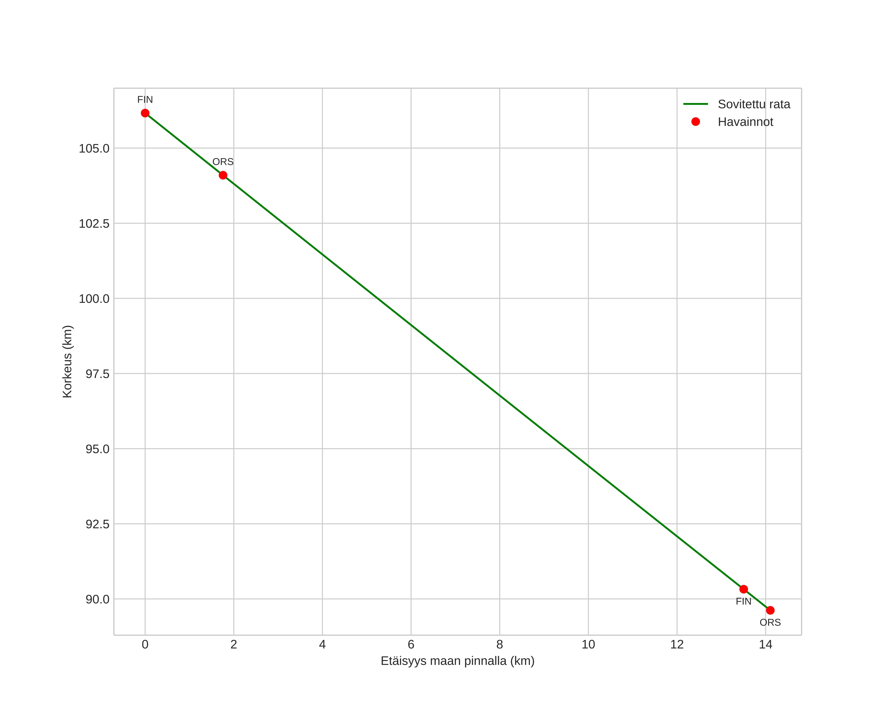
height profile
Meteorin ilmakehärata:
Alkukorkeus: 106,3 km
Loppukorkeus: 87,5 km
Alkupiste: 62,861N 11,008E
Loppupiste: 62,965N 11,227E
Suunta: 43,7°
Kallistuskulma: 49,6°
Tulonopeus: 69,7 km/s
Radiantin R,A,: 08:45 (131,4°)
Radiantin Dekl,: 27,3°
Meteoriparvi: Sporadinen
Meteoroidin rataelementit:
Perihelietäisyys: 0,483 AU
Eksentrisyys: 1,166
Inklinaatio: 159,6°
Nousevan solmun pituus: 246,1°
Perihelin argumentti: 267,0°
Keskianomalia: -6,9°
Epookki: 2024 NOV 28 05:35:30
orbit plot

Ei-interaktiivinen kuvaaja | Interaktiivinen kuvaaja

position vs time
speed and acceleration