🇳🇴 🇬🇧 🇩🇪 🇨🇿 🇫🇮

Meteor, poloha: Rena 2024-11-28 16:12:50 UTC

Soubor KML  |  InteraktivnĂ­ mapa

Mapa zobrazuje dráhy meteoru. Světlejší čáry ukazují směry od pozorovacích stanic při objevení se meteoru a tmavší čáry, kde byl naposledy viděn. Modrá šipka značí viditelnou dráhu meteoru.

static map
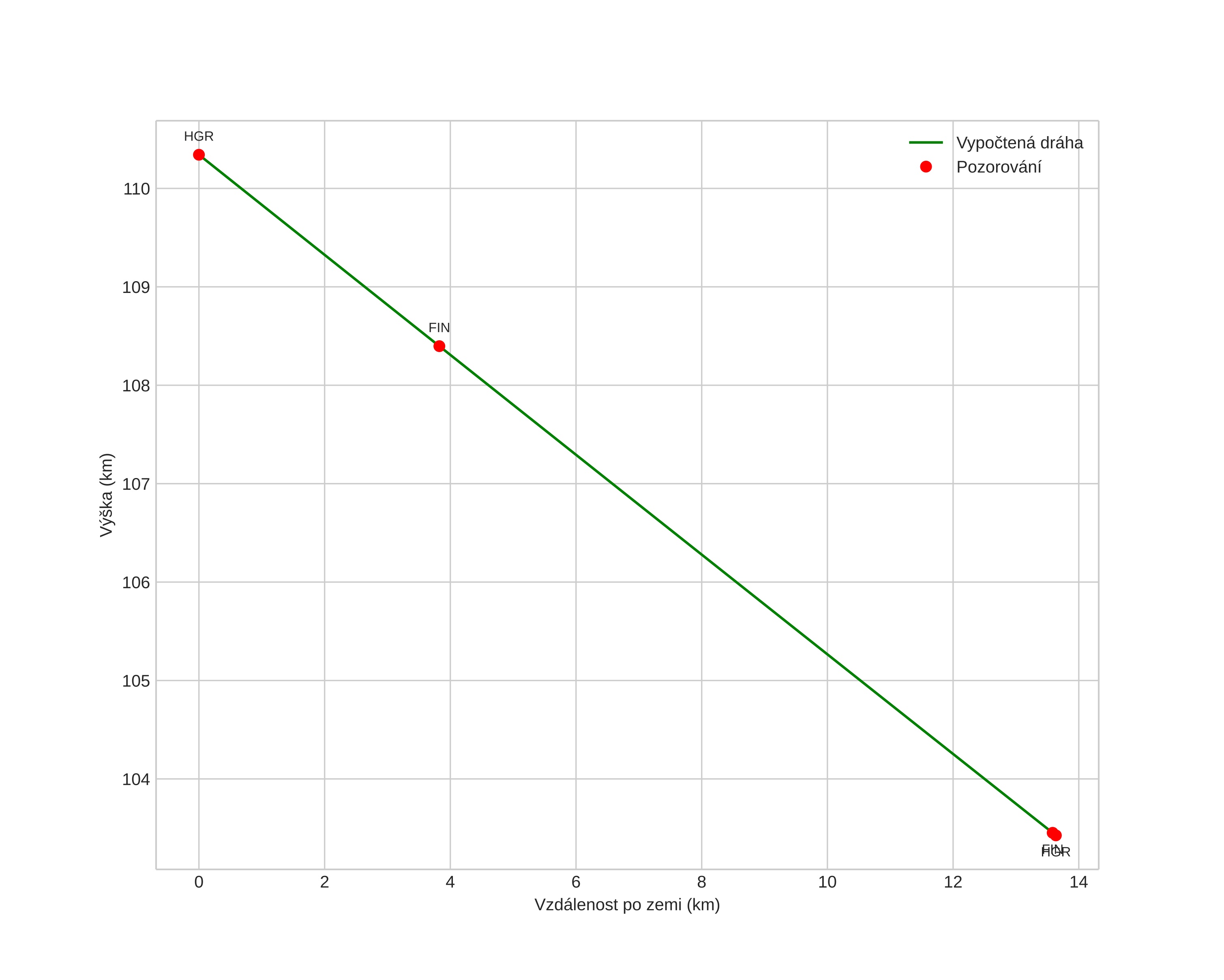
height profile
Atmosférická dráha meteoru:
Počáteční výška: 108,5 km
Konečná výška: 103,4 km
Počáteční poloha: 61,215N 11,433E
Konečná poloha: 61,127N 11,448E
Směr: 175,0°
Sklon: 27,5°
VstupnĂ­ rychlost: 44,5 km/s
Rektascenze radiantu: 10:01 (150,5°)
Deklinace radiantu: 55,1°
MeteorickĂ˝ roj: sporadickĂ˝
Elementy dráhy meteoroidu:
Vzdálenost v periheliu: 0,564 AU
Excentricita: 0,482
Sklon dráhy: 88,9°
Délka vzestupného uzlu: 246,6°
Argument perihelia: 288,5°
Střední anomálie: 308,3°
Epocha: 2024 NOV 28 16:12:50
orbit plot

NeinteraktivnĂ­ graf | InteraktivnĂ­ graf

position vs time
speed and acceleration