🇳🇴 🇬🇧 🇩🇪 🇨🇿 🇫🇮

Meteor Renan yllä 2024-11-28 16:12:50 UTC

KML-tiedosto  |  Interaktiivinen kartta

Kartta näyttää meteorin suuntahavainnot. Vaaleammat viivat näyttävät suunnat havaintoasemilta meteorin ilmestyessä, ja tummemmat viivat näyttävät, missä se viimeksi nähtiin. Sininen nuoli näyttää meteorin näkyvän lennon.

static map
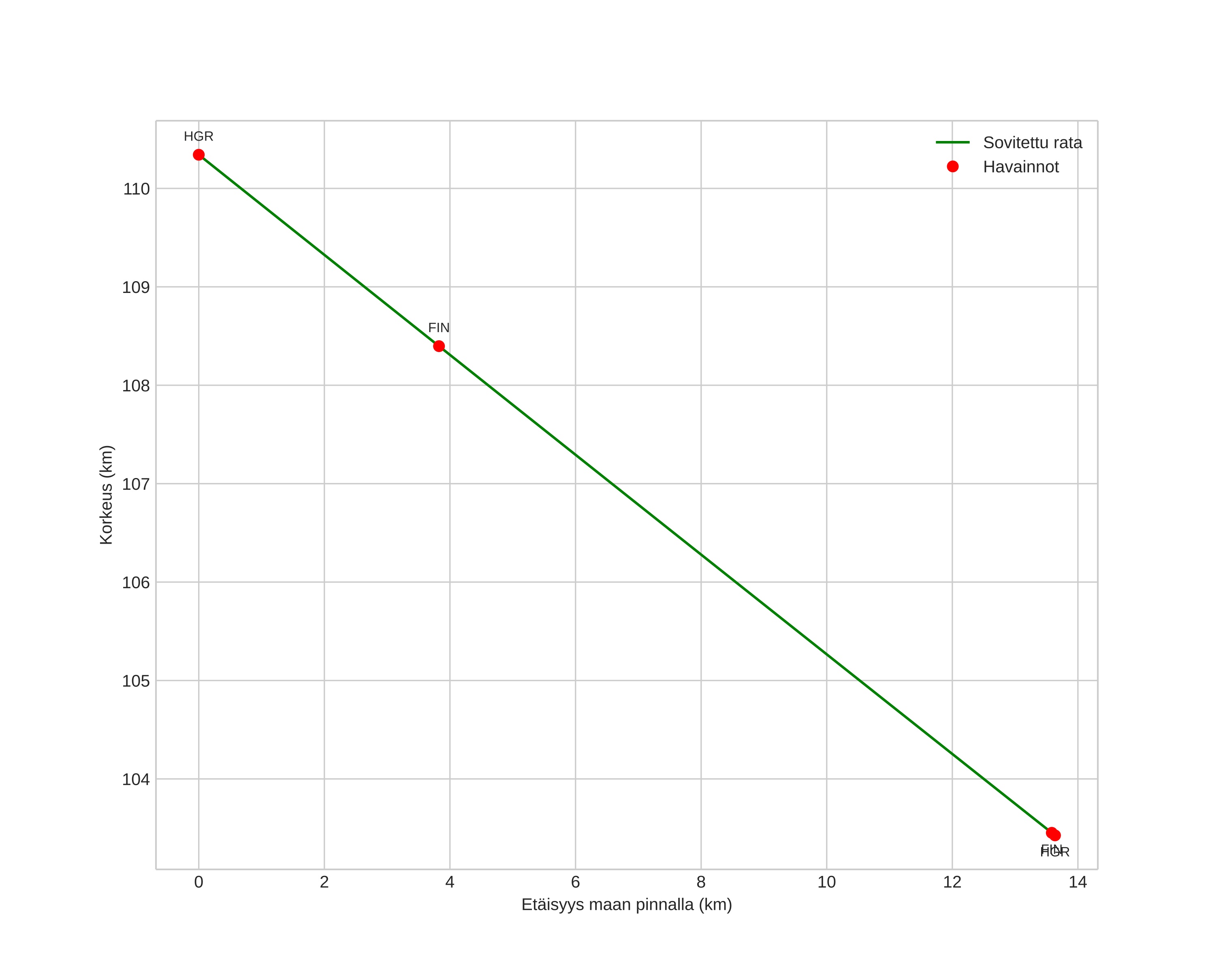
height profile
Meteorin ilmakehärata:
Alkukorkeus: 108,5 km
Loppukorkeus: 103,4 km
Alkupiste: 61,215N 11,433E
Loppupiste: 61,127N 11,448E
Suunta: 175,0°
Kallistuskulma: 27,5°
Tulonopeus: 44,5 km/s
Radiantin R,A,: 10:01 (150,5°)
Radiantin Dekl,: 55,1°
Meteoriparvi: Sporadinen
Meteoroidin rataelementit:
Perihelietäisyys: 0,564 AU
Eksentrisyys: 0,482
Inklinaatio: 88,9°
Nousevan solmun pituus: 246,6°
Perihelin argumentti: 288,5°
Keskianomalia: 308,3°
Epookki: 2024 NOV 28 16:12:50
orbit plot

Ei-interaktiivinen kuvaaja | Interaktiivinen kuvaaja

position vs time
speed and acceleration