🇳🇴 🇬🇧 🇩🇪 🇨🇿 🇫🇮

Meteor, poloha: Ringebu 2024-11-28 16:55:15 UTC

Soubor KML  |  InteraktivnĂ­ mapa

Mapa zobrazuje dráhy meteoru. Světlejší čáry ukazují směry od pozorovacích stanic při objevení se meteoru a tmavší čáry, kde byl naposledy viděn. Modrá šipka značí viditelnou dráhu meteoru.

static map
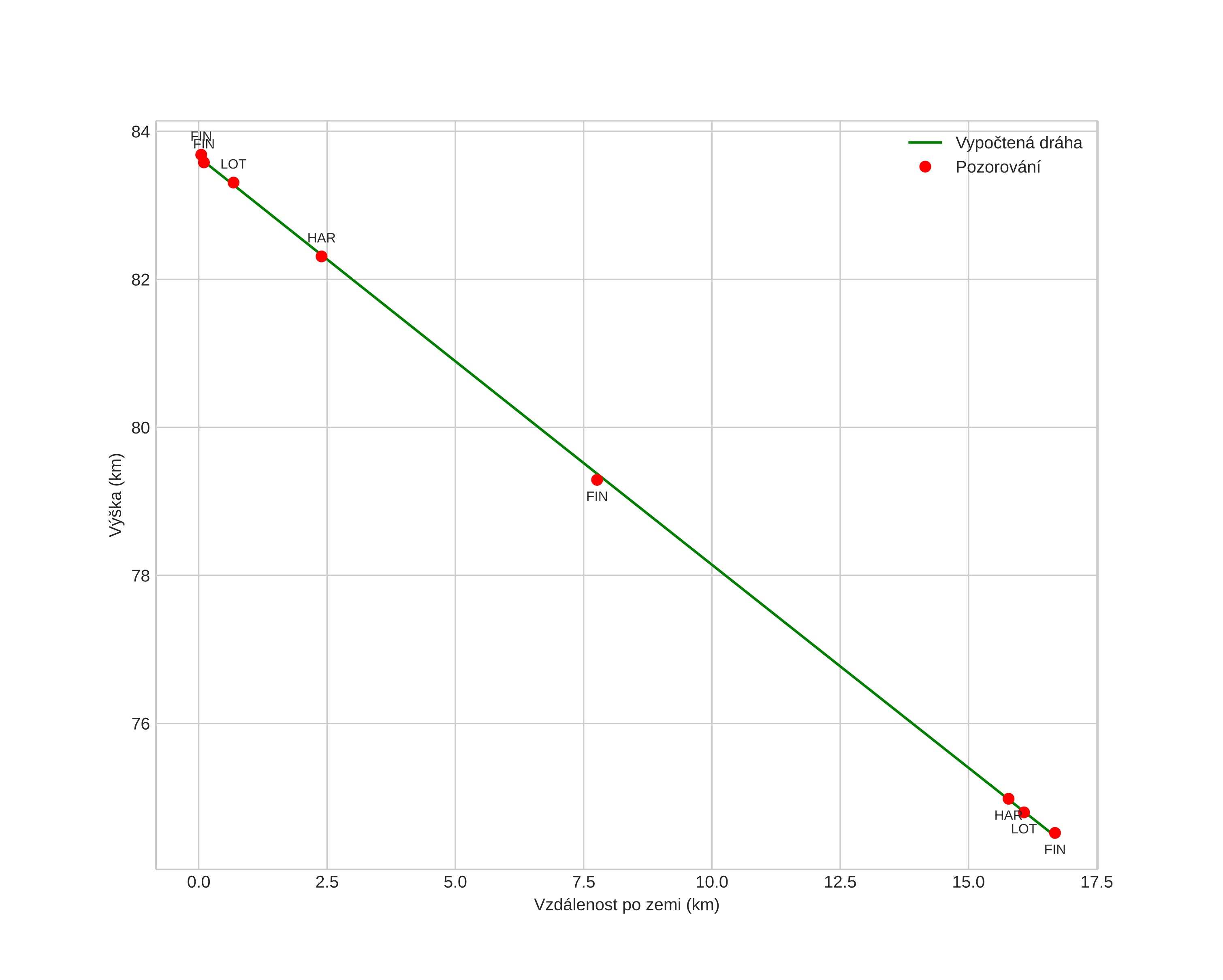
height profile
Atmosférická dráha meteoru:
Počáteční výška: 84,3 km
Konečná výška: 74,1 km
Počáteční poloha: 61,712N 10,467E
Konečná poloha: 61,659N 10,136E
Směr: 251,6°
Sklon: 29,0°
VstupnĂ­ rychlost: 26,5 km/s
Rektascenze radiantu: 04:19 (64,8°)
Deklinace radiantu: 31,3°
MeteorickĂ˝ roj: sporadickĂ˝
Elementy dráhy meteoroidu:
Vzdálenost v periheliu: 0,544 AU
Excentricita: 0,787
Sklon dráhy: 7,7°
Délka vzestupného uzlu: 246,6°
Argument perihelia: 271,1°
Střední anomálie: 349,4°
Epocha: 2024 NOV 28 16:55:15
orbit plot

NeinteraktivnĂ­ graf | InteraktivnĂ­ graf

position vs time
speed and acceleration