🇳🇴 🇬🇧 🇩🇪 🇨🇿 🇫🇮

Meteor Ringebun yllä 2024-11-28 16:55:15 UTC

KML-tiedosto  |  Interaktiivinen kartta

Kartta näyttää meteorin suuntahavainnot. Vaaleammat viivat näyttävät suunnat havaintoasemilta meteorin ilmestyessä, ja tummemmat viivat näyttävät, missä se viimeksi nähtiin. Sininen nuoli näyttää meteorin näkyvän lennon.

static map
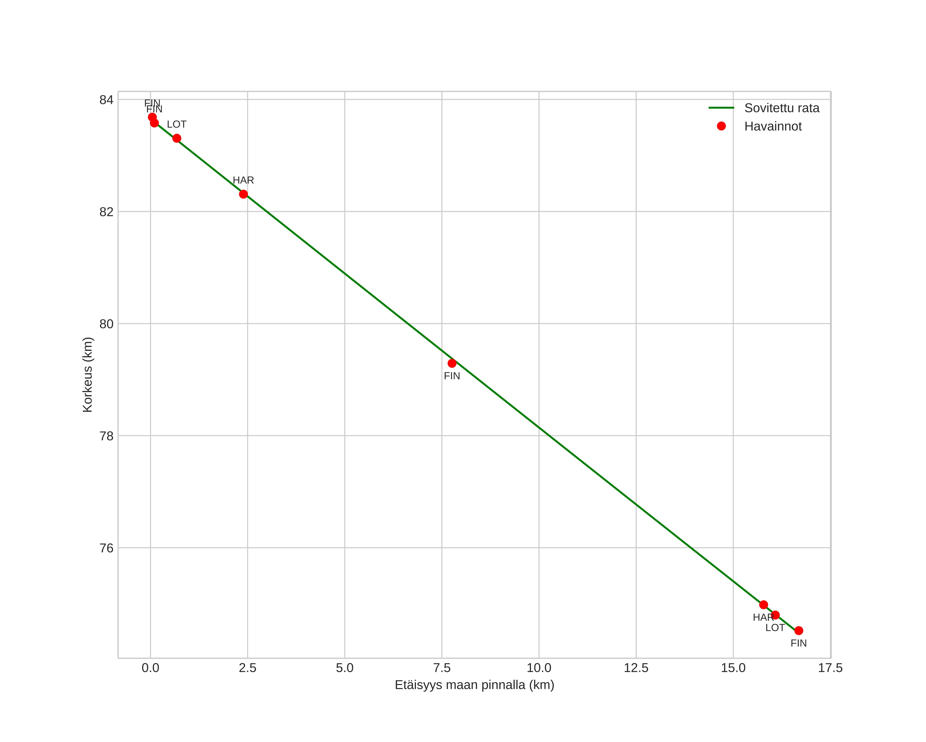
height profile
Meteorin ilmakehärata:
Alkukorkeus: 84,3 km
Loppukorkeus: 74,1 km
Alkupiste: 61,712N 10,467E
Loppupiste: 61,659N 10,136E
Suunta: 251,6°
Kallistuskulma: 29,0°
Tulonopeus: 26,5 km/s
Radiantin R,A,: 04:19 (64,8°)
Radiantin Dekl,: 31,3°
Meteoriparvi: Sporadinen
Meteoroidin rataelementit:
Perihelietäisyys: 0,544 AU
Eksentrisyys: 0,787
Inklinaatio: 7,7°
Nousevan solmun pituus: 246,6°
Perihelin argumentti: 271,1°
Keskianomalia: 349,4°
Epookki: 2024 NOV 28 16:55:15
orbit plot

Ei-interaktiivinen kuvaaja | Interaktiivinen kuvaaja

position vs time
speed and acceleration