🇳🇴 🇬🇧 🇩🇪 🇨🇿 🇫🇮

Meteor, poloha: Eidfjord 2024-11-29 00:48:26 UTC

Soubor KML  |  InteraktivnĂ­ mapa

Mapa zobrazuje dráhy meteoru. Světlejší čáry ukazují směry od pozorovacích stanic při objevení se meteoru a tmavší čáry, kde byl naposledy viděn. Modrá šipka značí viditelnou dráhu meteoru.

static map
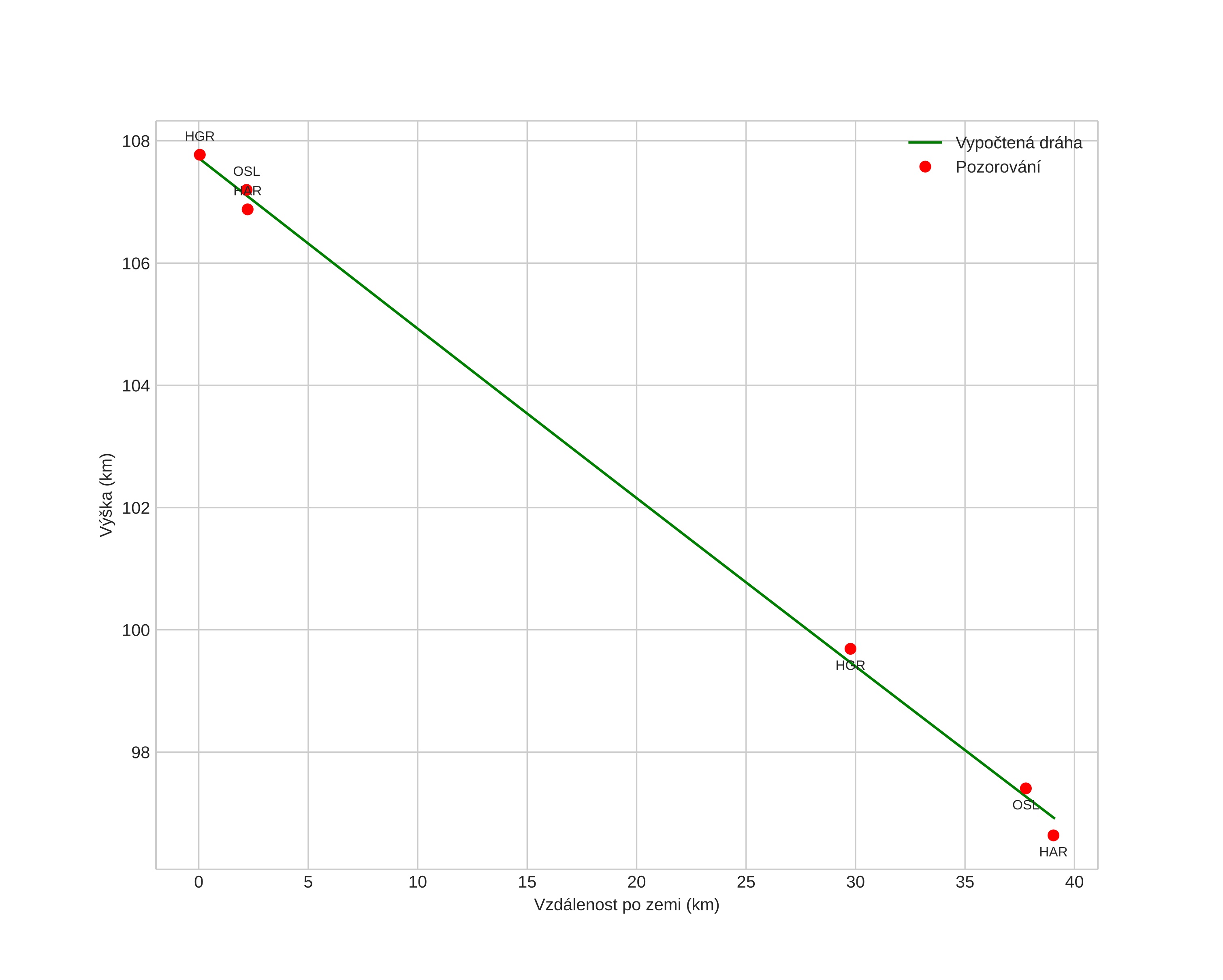
height profile
Atmosférická dráha meteoru:
Počáteční výška: 108,9 km
Konečná výška: 96,3 km
Počáteční poloha: 59,948N 8,101E
Konečná poloha: 60,239N 7,481E
Směr: 313,6°
Sklon: 14,9°
VstupnĂ­ rychlost: 67,5 km/s
Rektascenze radiantu: 08:52 (133,1°)
Deklinace radiantu: -6,8°
MeteorickĂ˝ roj: sporadickĂ˝
Elementy dráhy meteoroidu:
Vzdálenost v periheliu: 0,771 AU
Excentricita: 1,056
Sklon dráhy: 136,0°
Délka vzestupného uzlu: 66,9°
Argument perihelia: 54,9°
Střední anomálie: -0,6°
Epocha: 2024 NOV 29 00:48:26
orbit plot

NeinteraktivnĂ­ graf | InteraktivnĂ­ graf

position vs time
speed and acceleration

Harestua (HAR) cam4


gnomonic
Videa
• Gnomonická
• Gnomonická se souřadnicemi
• Původní
• Původní se souřadnicemi
Obrázky
• Gnomonická
• Gnomonická se souřadnicemi
• Původní
• Původní se souřadnicemi
Textové soubory
• Detekce
• Pozorování
• Souřadnice
• Protokol
Jasnost