🇳🇴 🇬🇧 🇩🇪 🇨🇿 🇫🇮

Meteor Eidfjordin yllä 2024-11-29 00:48:26 UTC

KML-tiedosto  |  Interaktiivinen kartta

Kartta näyttää meteorin suuntahavainnot. Vaaleammat viivat näyttävät suunnat havaintoasemilta meteorin ilmestyessä, ja tummemmat viivat näyttävät, missä se viimeksi nähtiin. Sininen nuoli näyttää meteorin näkyvän lennon.

static map
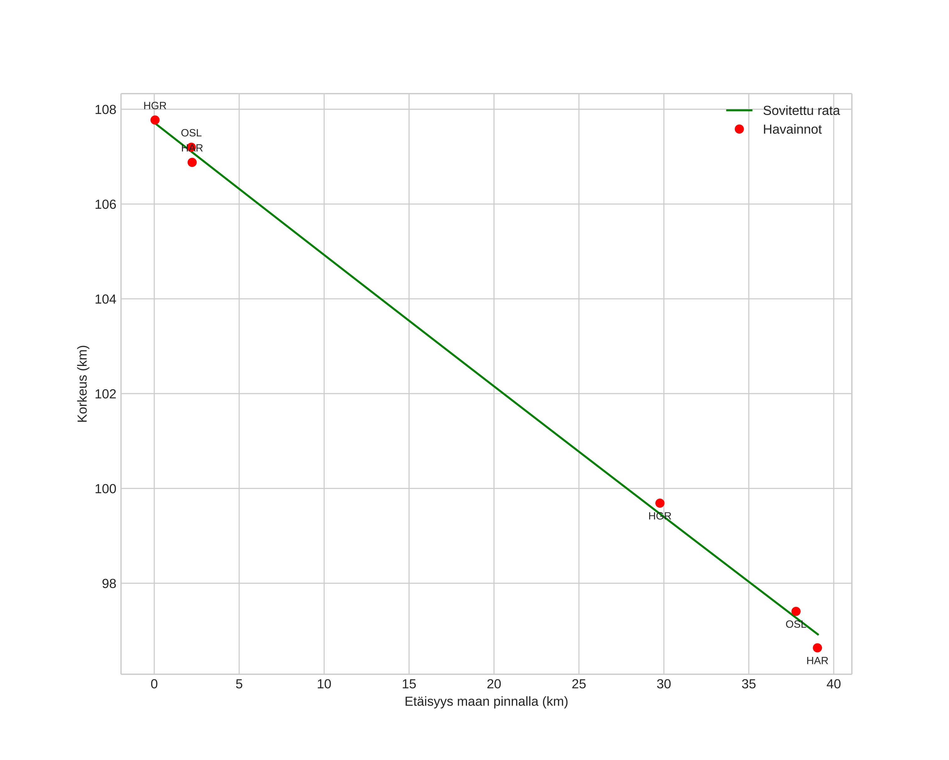
height profile
Meteorin ilmakehärata:
Alkukorkeus: 108,9 km
Loppukorkeus: 96,3 km
Alkupiste: 59,948N 8,101E
Loppupiste: 60,239N 7,481E
Suunta: 313,6°
Kallistuskulma: 14,9°
Tulonopeus: 67,5 km/s
Radiantin R,A,: 08:52 (133,1°)
Radiantin Dekl,: -6,8°
Meteoriparvi: Sporadinen
Meteoroidin rataelementit:
Perihelietäisyys: 0,771 AU
Eksentrisyys: 1,056
Inklinaatio: 136,0°
Nousevan solmun pituus: 66,9°
Perihelin argumentti: 54,9°
Keskianomalia: -0,6°
Epookki: 2024 NOV 29 00:48:26
orbit plot

Ei-interaktiivinen kuvaaja | Interaktiivinen kuvaaja

position vs time
speed and acceleration

Harestua (HAR) cam4


gnomonic
Videot:
• Gnomoninen
• Gnomoninen koordinaateilla
• Alkuperäinen
• Alkuperäinen koordinaateilla
Kuvat:
• Gnomoninen
• Gnomoninen koordinaateilla
• Alkuperäinen
• Alkuperäinen koordinaateilla
Tekstitiedostot:
• Havaintoraportti
• Observaatio
• Koordinaatit
• Loki
Kirkkaus