🇳🇴 🇬🇧 🇩🇪 🇨🇿 🇫🇮

Meteor, poloha: Malung 2024-11-29 00:59:16 UTC

Soubor KML

Mapa zobrazuje dráhy meteoru. Světlejší čáry ukazují směry od pozorovacích stanic při objevení se meteoru a tmavší čáry, kde byl naposledy viděn. Modrá šipka značí viditelnou dráhu meteoru.

static map
height profile
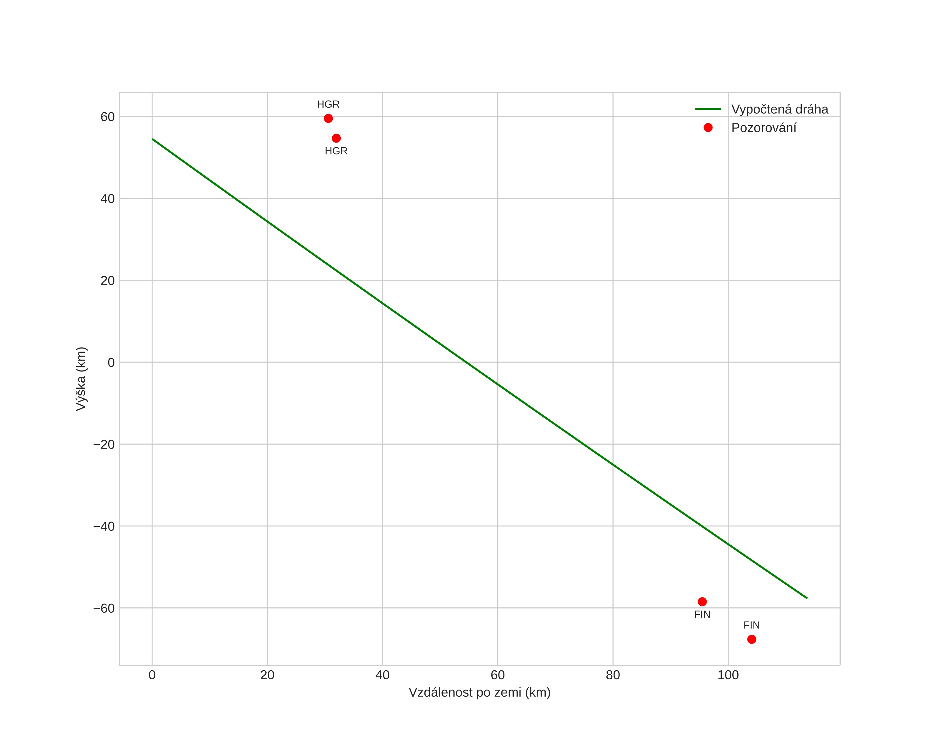
Atmosférická dráha meteoru:
Počáteční výška: 54,5 km
Konečná výška: -57,7 km
Počáteční poloha: 60,950N 11,793E
Konečná poloha: 60,740N 13,848E
Směr: 101,0°
Sklon: 44,6°
VstupnĂ­ rychlost: 17,0 km/s
Rektascenze radiantu: 01:07 (16,8°)
Deklinace radiantu: 37,0°
MeteorickĂ˝ roj: sporadickĂ˝
Elementy dráhy meteoroidu:
Vzdálenost v periheliu: 0,912 AU
Excentricita: 0,700
Sklon dráhy: 9,2°
Délka vzestupného uzlu: 246,9°
Argument perihelia: 215,2°
Střední anomálie: 355,3°
Epocha: 2024 NOV 29 00:59:16
orbit plot

NeinteraktivnĂ­ graf

position vs time
speed and acceleration