🇳🇴 🇬🇧 🇩🇪 🇨🇿 🇫🇮

Meteor über Malung 2024-11-29 00:59:16 UTC

KML-Datei

Die Karte zeigt die Peilungen für den Meteor. Die helleren Linien zeigen die Richtungen von den Beobachtungsorten beim Erscheinen des Meteors, und die dunkleren Linien, wo er zuletzt gesehen wurde. Der blaue Pfeil zeigt die sichtbare Bahn des Meteors.

static map
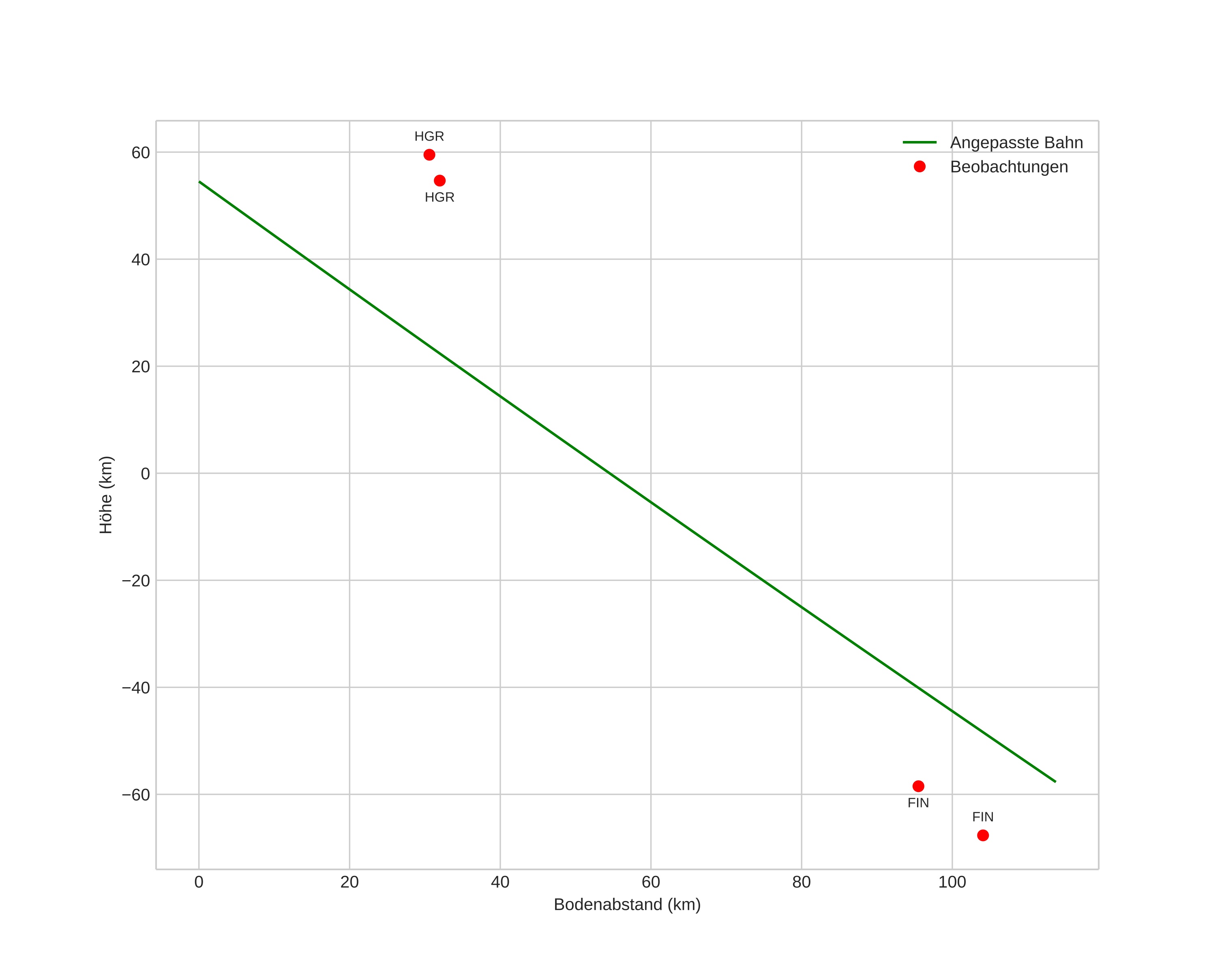
height profile
Atmosphärische Bahn des Meteors:
Anfangshöhe: 54,5 km
Endhöhe: -57,7 km
Startposition: 60,950N 11,793E
Endposition: 60,740N 13,848E
Richtung: 101,0°
Neigungswinkel: 44,6°
Eintrittsgeschwindigkeit: 17,0 km/s
Rektaszension des Radianten: 01:07 (16,8°)
Deklination des Radianten: 37,0°
Meteorstrom: sporadisch
Bahnelemente des Meteoroiden:
Periheldistanz: 0,912 AU
Exzentrizität: 0,700
Inklination: 9,2°
Länge des aufsteigenden Knotens: 246,9°
Argument des Perihels: 215,2°
Mittlere Anomalie: 355,3°
Epoche: 2024 NOV 29 00:59:16
orbit plot

Nicht-interaktives Diagramm

position vs time
speed and acceleration