🇳🇴 🇬🇧 🇩🇪 🇨🇿 🇫🇮

Meteor, poloha: Lysaker 2024-11-29 02:21:45 UTC

Soubor KML  |  InteraktivnĂ­ mapa

Mapa zobrazuje dráhy meteoru. Světlejší čáry ukazují směry od pozorovacích stanic při objevení se meteoru a tmavší čáry, kde byl naposledy viděn. Modrá šipka značí viditelnou dráhu meteoru.

static map
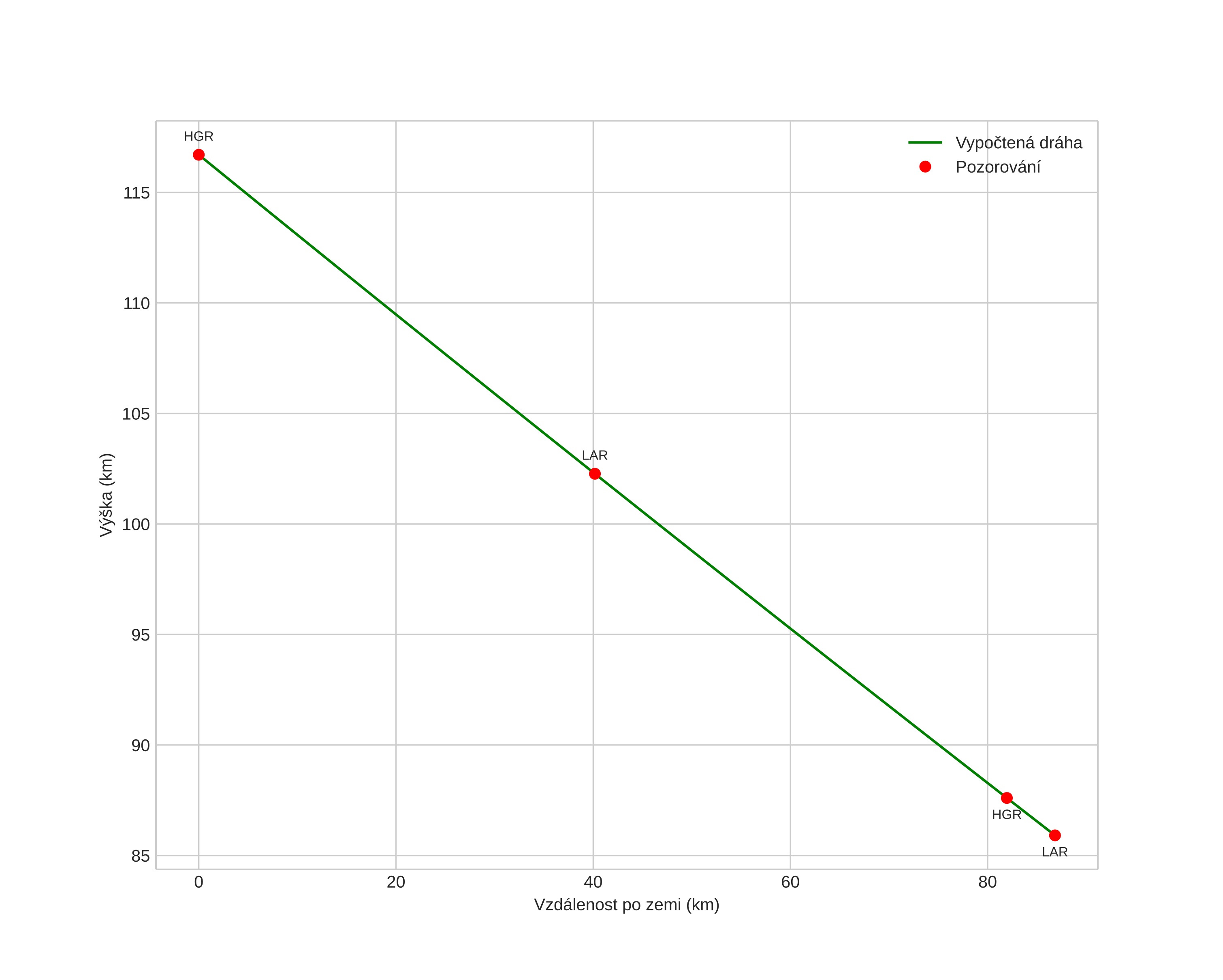
height profile
Atmosférická dráha meteoru:
Počáteční výška: 117,5 km
Konečná výška: 80,1 km
Počáteční poloha: 59,667N 12,331E
Konečná poloha: 59,967N 10,606E
Směr: 289,8°
Sklon: 20,1°
VstupnĂ­ rychlost: 72,4 km/s
Rektascenze radiantu: 11:56 (179,0°)
Deklinace radiantu: 7,6°
MeteorickĂ˝ roj: sporadickĂ˝
Elementy dráhy meteoroidu:
Vzdálenost v periheliu: 0,734 AU
Excentricita: 1,119
Sklon dráhy: 167,5°
Délka vzestupného uzlu: 247,0°
Argument perihelia: 121,1°
Střední anomálie: 2,0°
Epocha: 2024 NOV 29 02:21:45
orbit plot

NeinteraktivnĂ­ graf | InteraktivnĂ­ graf

position vs time
speed and acceleration

Larvik (LAR) cam1


gnomonic
Videa
• Gnomonická
• Gnomonická se souřadnicemi
• Původní
• Původní se souřadnicemi
Obrázky
• Gnomonická
• Gnomonická se souřadnicemi
• Původní
• Původní se souřadnicemi
Textové soubory
• Detekce
• Pozorování
• Souřadnice
• Chybová hlášení
• Protokol
Jasnost