🇳🇴 🇬🇧 🇩🇪 🇨🇿 🇫🇮

Meteor Lysakerin yllä 2024-11-29 02:21:45 UTC

KML-tiedosto  |  Interaktiivinen kartta

Kartta näyttää meteorin suuntahavainnot. Vaaleammat viivat näyttävät suunnat havaintoasemilta meteorin ilmestyessä, ja tummemmat viivat näyttävät, missä se viimeksi nähtiin. Sininen nuoli näyttää meteorin näkyvän lennon.

static map
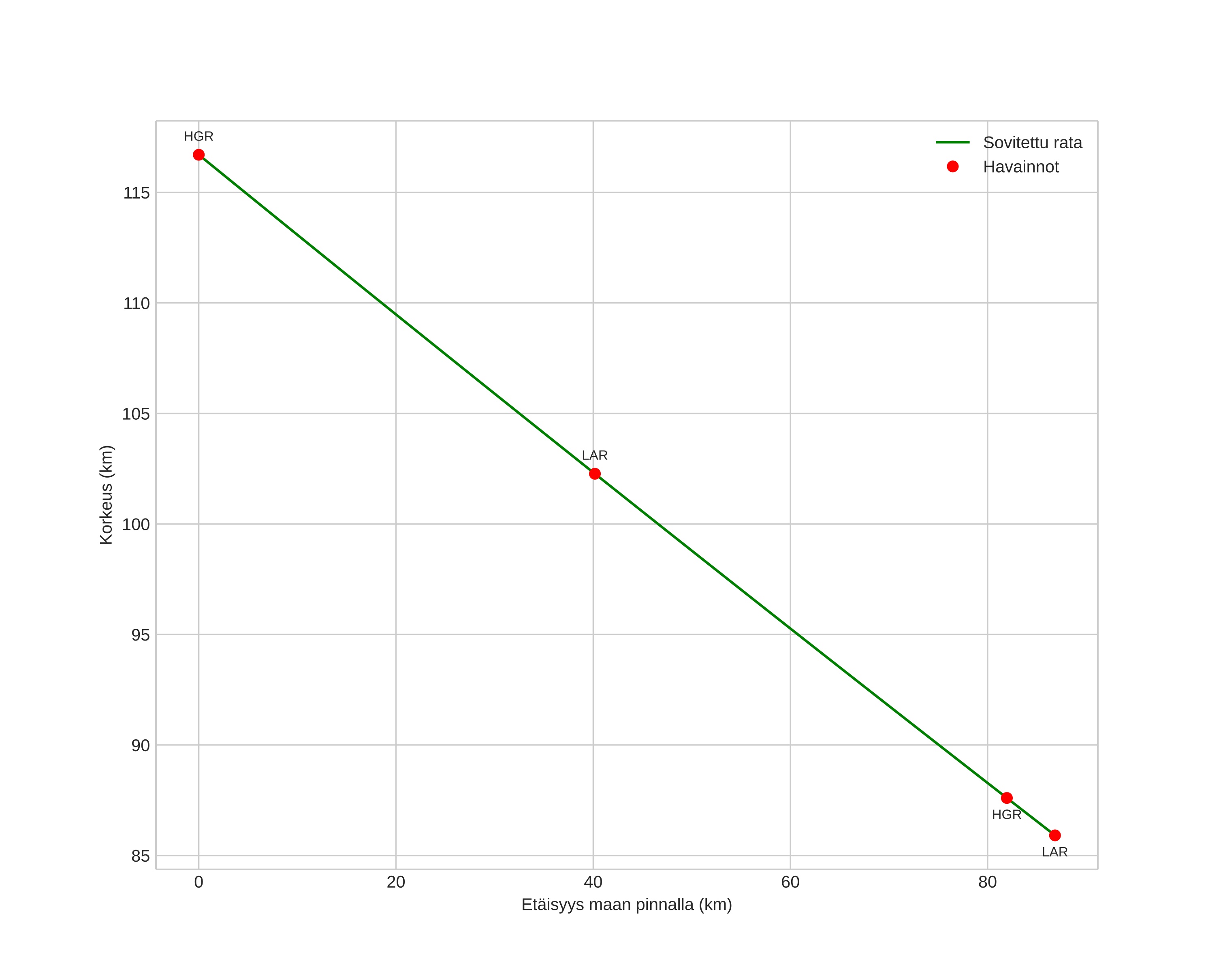
height profile
Meteorin ilmakehärata:
Alkukorkeus: 117,5 km
Loppukorkeus: 80,1 km
Alkupiste: 59,667N 12,331E
Loppupiste: 59,967N 10,606E
Suunta: 289,8°
Kallistuskulma: 20,1°
Tulonopeus: 72,4 km/s
Radiantin R,A,: 11:56 (179,0°)
Radiantin Dekl,: 7,6°
Meteoriparvi: Sporadinen
Meteoroidin rataelementit:
Perihelietäisyys: 0,734 AU
Eksentrisyys: 1,119
Inklinaatio: 167,5°
Nousevan solmun pituus: 247,0°
Perihelin argumentti: 121,1°
Keskianomalia: 2,0°
Epookki: 2024 NOV 29 02:21:45
orbit plot

Ei-interaktiivinen kuvaaja | Interaktiivinen kuvaaja

position vs time
speed and acceleration

Larvik (LAR) cam1


gnomonic
Videot:
• Gnomoninen
• Gnomoninen koordinaateilla
• Alkuperäinen
• Alkuperäinen koordinaateilla
Kuvat:
• Gnomoninen
• Gnomoninen koordinaateilla
• Alkuperäinen
• Alkuperäinen koordinaateilla
Tekstitiedostot:
• Havaintoraportti
• Observaatio
• Koordinaatit
• Virheilmoitukset
• Loki
Kirkkaus