🇳🇴 🇬🇧 🇩🇪 🇨🇿 🇫🇮

Meteor, poloha: Charlottenberg 2024-11-30 22:38:37 UTC

Soubor KML  |  InteraktivnĂ­ mapa

Mapa zobrazuje dráhy meteoru. Světlejší čáry ukazují směry od pozorovacích stanic při objevení se meteoru a tmavší čáry, kde byl naposledy viděn. Modrá šipka značí viditelnou dráhu meteoru.

static map
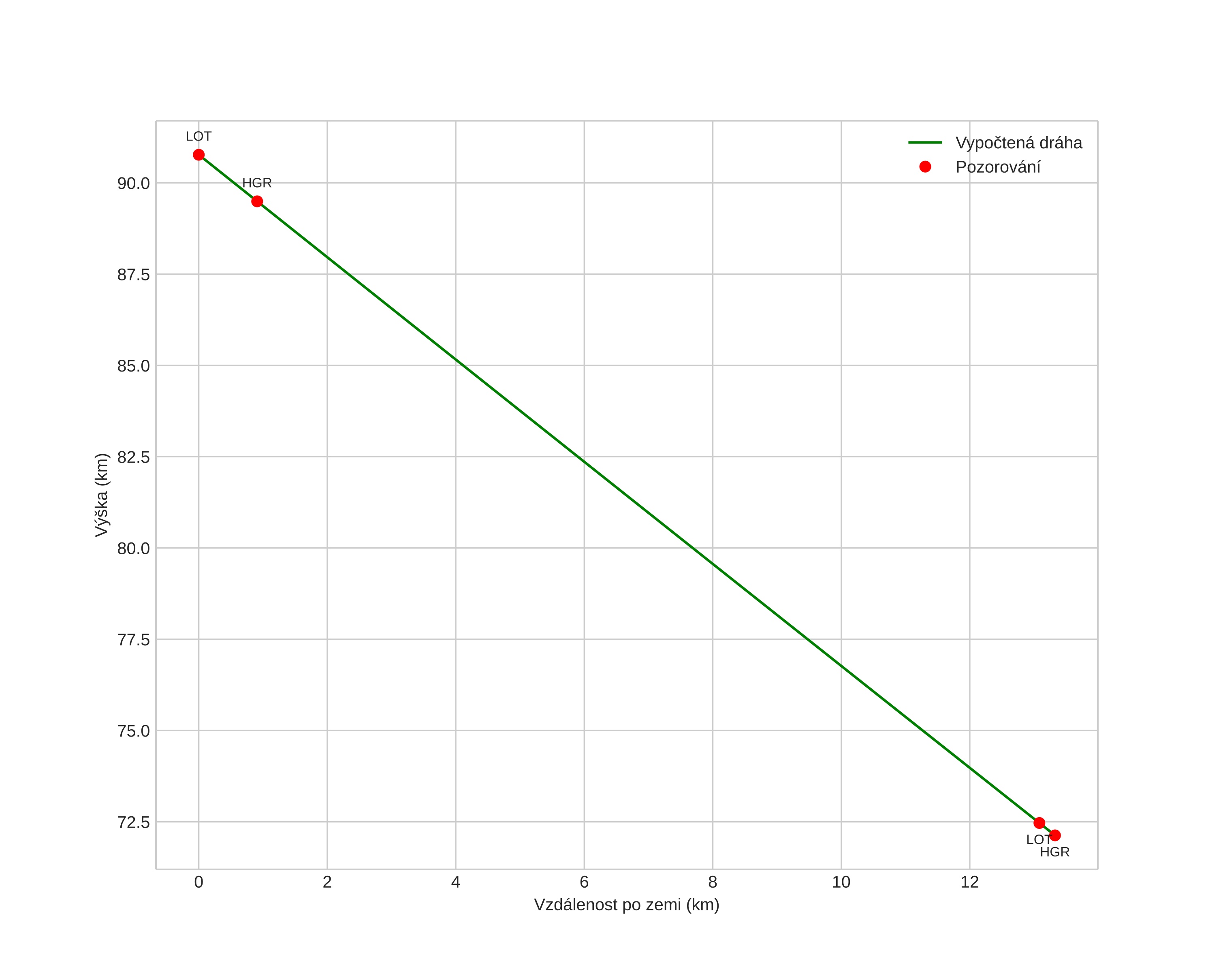
height profile
Atmosférická dráha meteoru:
Počáteční výška: 91,3 km
Konečná výška: 70,9 km
Počáteční poloha: 60,156N 12,627E
Konečná poloha: 60,280N 12,521E
Směr: 336,9°
Sklon: 53,8°
VstupnĂ­ rychlost: 30,6 km/s
Rektascenze radiantu: 05:07 (76,8°)
Deklinace radiantu: 24,0°
MeteorickĂ˝ roj: SevernĂ­ Tauridy
Elementy dráhy meteoroidu:
Vzdálenost v periheliu: 0,392 AU
Excentricita: 0,853
Sklon dráhy: 1,3°
Délka vzestupného uzlu: 248,7°
Argument perihelia: 288,1°
Střední anomálie: 350,6°
Epocha: 2024 NOV 30 22:38:37
orbit plot

NeinteraktivnĂ­ graf | InteraktivnĂ­ graf

position vs time
speed and acceleration