🇳🇴 🇬🇧 🇩🇪 🇨🇿 🇫🇮

Meteor Charlottenbergin yllä 2024-11-30 22:38:37 UTC

KML-tiedosto  |  Interaktiivinen kartta

Kartta näyttää meteorin suuntahavainnot. Vaaleammat viivat näyttävät suunnat havaintoasemilta meteorin ilmestyessä, ja tummemmat viivat näyttävät, missä se viimeksi nähtiin. Sininen nuoli näyttää meteorin näkyvän lennon.

static map
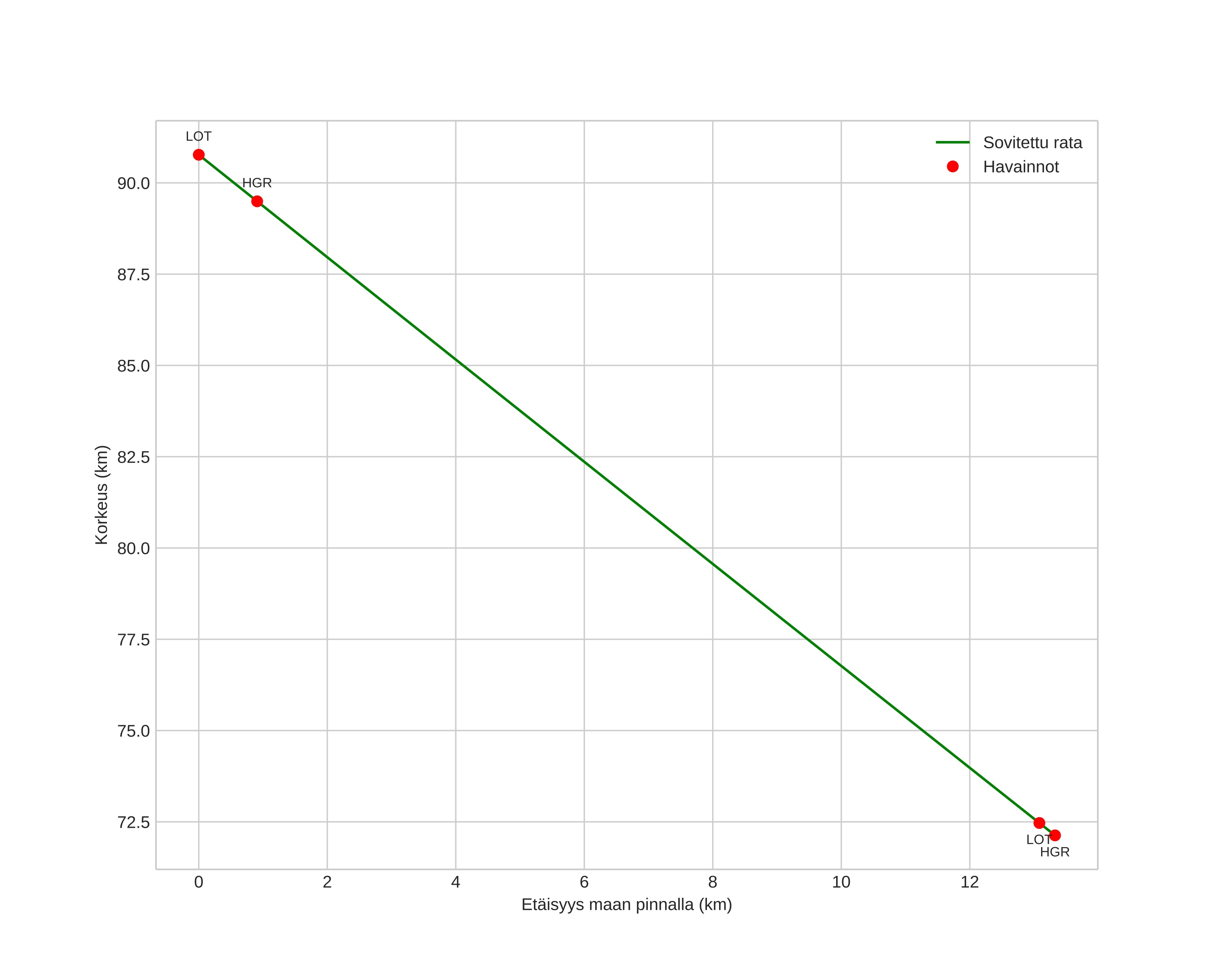
height profile
Meteorin ilmakehärata:
Alkukorkeus: 91,3 km
Loppukorkeus: 70,9 km
Alkupiste: 60,156N 12,627E
Loppupiste: 60,280N 12,521E
Suunta: 336,9°
Kallistuskulma: 53,8°
Tulonopeus: 30,6 km/s
Radiantin R,A,: 05:07 (76,8°)
Radiantin Dekl,: 24,0°
Meteoriparvi: Pohjoiset tauridit
Meteoroidin rataelementit:
Perihelietäisyys: 0,392 AU
Eksentrisyys: 0,853
Inklinaatio: 1,3°
Nousevan solmun pituus: 248,7°
Perihelin argumentti: 288,1°
Keskianomalia: 350,6°
Epookki: 2024 NOV 30 22:38:37
orbit plot

Ei-interaktiivinen kuvaaja | Interaktiivinen kuvaaja

position vs time
speed and acceleration