🇳🇴 🇬🇧 🇩🇪 🇨🇿 🇫🇮

Meteor, poloha: Munkfors 2024-12-01 02:26:22 UTC

Soubor KML  |  InteraktivnĂ­ mapa

Mapa zobrazuje dráhy meteoru. Světlejší čáry ukazují směry od pozorovacích stanic při objevení se meteoru a tmavší čáry, kde byl naposledy viděn. Modrá šipka značí viditelnou dráhu meteoru.

static map
height profile
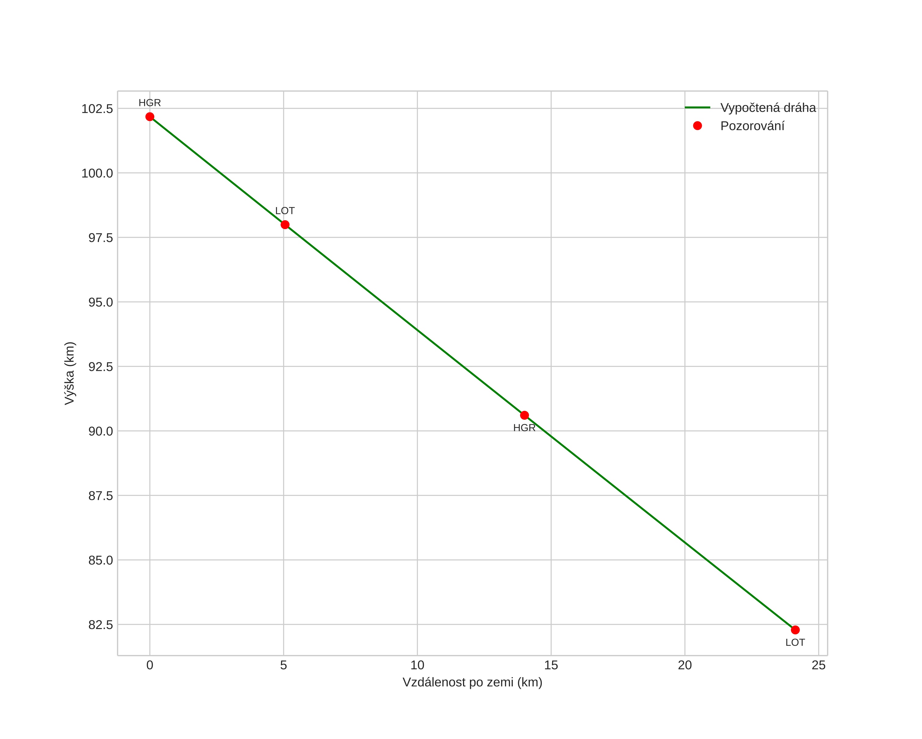
Atmosférická dráha meteoru:
Počáteční výška: 102,2 km
Konečná výška: 82,0 km
Počáteční poloha: 59,706N 13,127E
Konečná poloha: 59,865N 13,422E
Směr: 42,9°
Sklon: 39,8°
VstupnĂ­ rychlost: 44,0 km/s
Rektascenze radiantu: 05:45 (86,3°)
Deklinace radiantu: 14,7°
MeteorickĂ˝ roj: Monocerotidy
Elementy dráhy meteoroidu:
Vzdálenost v periheliu: 0,189 AU
Excentricita: 1,042
Sklon dráhy: 20,2°
Délka vzestupného uzlu: 69,0°
Argument perihelia: 125,7°
Střední anomálie: -3,3°
Epocha: 2024 DEC 01 02:26:22
orbit plot

NeinteraktivnĂ­ graf | InteraktivnĂ­ graf

position vs time
speed and acceleration