🇳🇴 🇬🇧 🇩🇪 🇨🇿 🇫🇮

Meteor Munkforsin yllä 2024-12-01 02:26:22 UTC

KML-tiedosto  |  Interaktiivinen kartta

Kartta näyttää meteorin suuntahavainnot. Vaaleammat viivat näyttävät suunnat havaintoasemilta meteorin ilmestyessä, ja tummemmat viivat näyttävät, missä se viimeksi nähtiin. Sininen nuoli näyttää meteorin näkyvän lennon.

static map
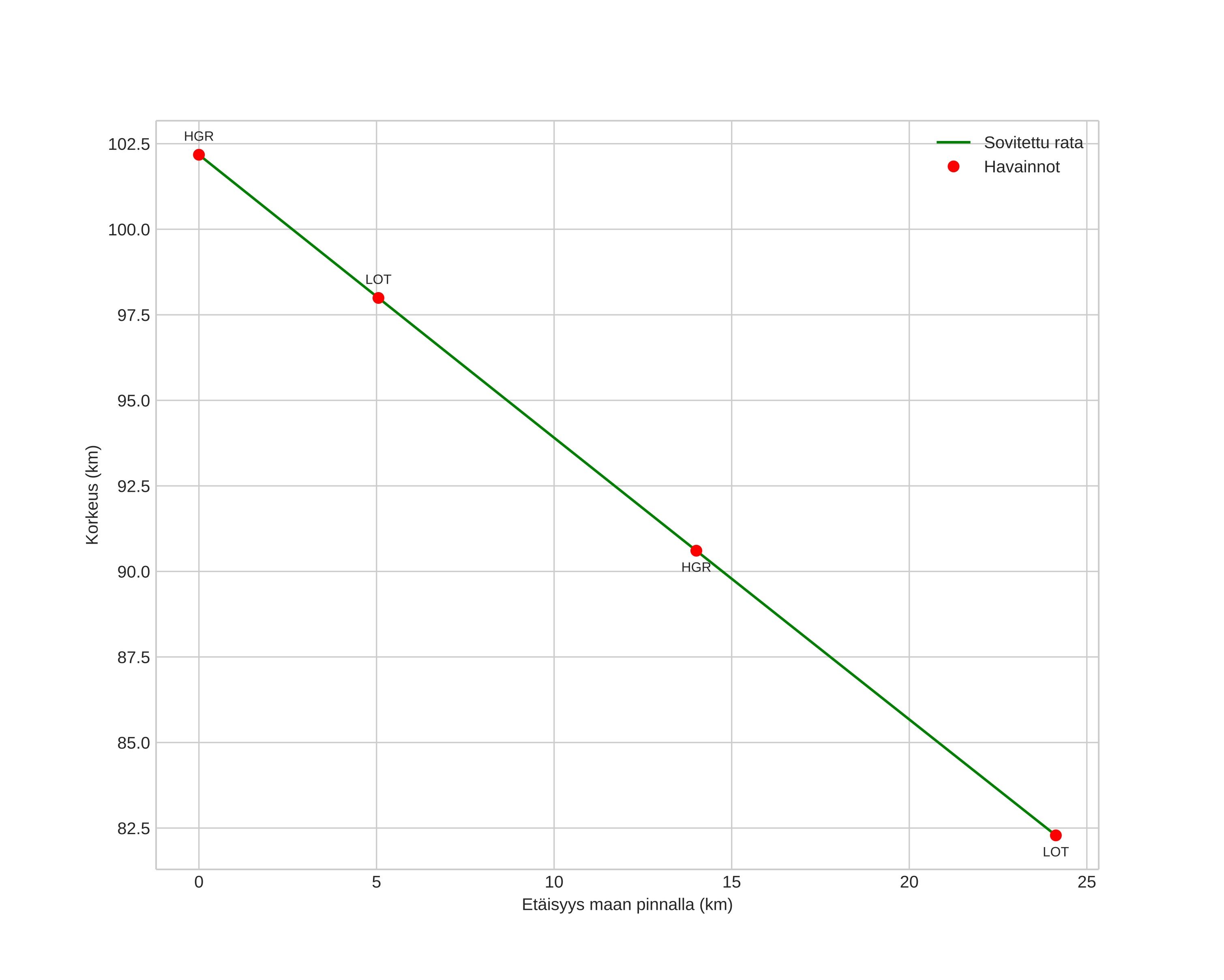
height profile
Meteorin ilmakehärata:
Alkukorkeus: 102,2 km
Loppukorkeus: 82,0 km
Alkupiste: 59,706N 13,127E
Loppupiste: 59,865N 13,422E
Suunta: 42,9°
Kallistuskulma: 39,8°
Tulonopeus: 44,0 km/s
Radiantin R,A,: 05:45 (86,3°)
Radiantin Dekl,: 14,7°
Meteoriparvi: Monoserotidit
Meteoroidin rataelementit:
Perihelietäisyys: 0,189 AU
Eksentrisyys: 1,042
Inklinaatio: 20,2°
Nousevan solmun pituus: 69,0°
Perihelin argumentti: 125,7°
Keskianomalia: -3,3°
Epookki: 2024 DEC 01 02:26:22
orbit plot

Ei-interaktiivinen kuvaaja | Interaktiivinen kuvaaja

position vs time
speed and acceleration