🇳🇴 🇬🇧 🇩🇪 🇨🇿 🇫🇮

Meteor, poloha: Brumunddal 2024-12-01 06:18:26 UTC

Soubor KML  |  InteraktivnĂ­ mapa

Mapa zobrazuje dráhy meteoru. Světlejší čáry ukazují směry od pozorovacích stanic při objevení se meteoru a tmavší čáry, kde byl naposledy viděn. Modrá šipka značí viditelnou dráhu meteoru.

static map
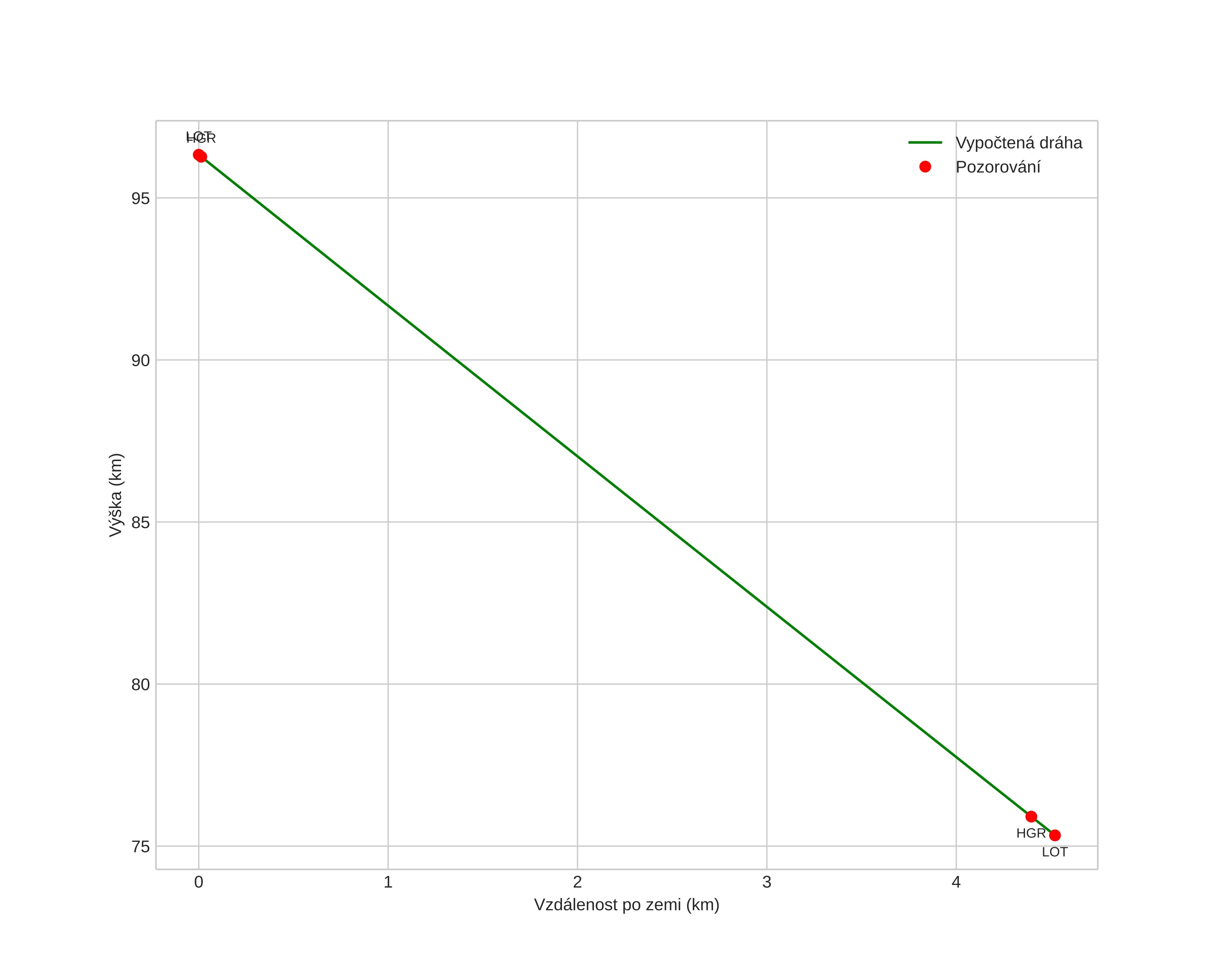
height profile
Atmosférická dráha meteoru:
Počáteční výška: 100,0 km
Konečná výška: 74,6 km
Počáteční poloha: 61,002N 11,095E
Konečná poloha: 60,970N 11,018E
Směr: 228,7°
Sklon: 77,8°
VstupnĂ­ rychlost: 44,3 km/s
Rektascenze radiantu: 13:19 (200,0°)
Deklinace radiantu: 67,5°
MeteorickĂ˝ roj: sporadickĂ˝
Elementy dráhy meteoroidu:
Vzdálenost v periheliu: 0,972 AU
Excentricita: 0,840
Sklon dráhy: 72,7°
Délka vzestupného uzlu: 249,2°
Argument perihelia: 194,6°
Střední anomálie: 359,3°
Epocha: 2024 DEC 01 06:18:26
orbit plot

NeinteraktivnĂ­ graf | InteraktivnĂ­ graf

position vs time
speed and acceleration