🇳🇴 🇬🇧 🇩🇪 🇨🇿 🇫🇮

Meteor über Brumunddal 2024-12-01 06:18:26 UTC

KML-Datei  |  Interaktive Karte

Die Karte zeigt die Peilungen für den Meteor. Die helleren Linien zeigen die Richtungen von den Beobachtungsorten beim Erscheinen des Meteors, und die dunkleren Linien, wo er zuletzt gesehen wurde. Der blaue Pfeil zeigt die sichtbare Bahn des Meteors.

static map
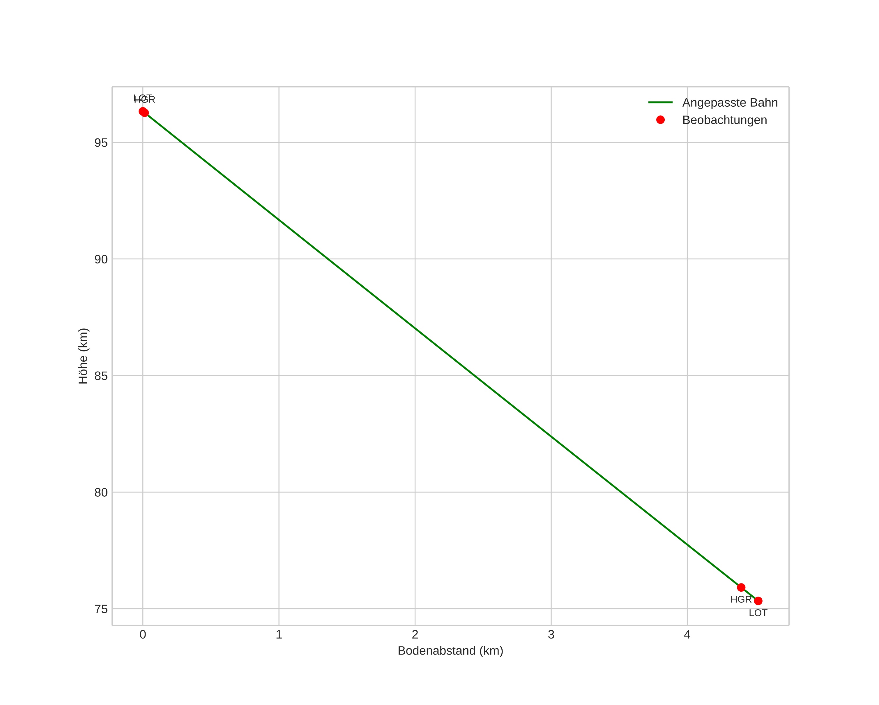
height profile
Atmosphärische Bahn des Meteors:
Anfangshöhe: 100,0 km
Endhöhe: 74,6 km
Startposition: 61,002N 11,095E
Endposition: 60,970N 11,018E
Richtung: 228,7°
Neigungswinkel: 77,8°
Eintrittsgeschwindigkeit: 44,3 km/s
Rektaszension des Radianten: 13:19 (200,0°)
Deklination des Radianten: 67,5°
Meteorstrom: sporadisch
Bahnelemente des Meteoroiden:
Periheldistanz: 0,972 AU
Exzentrizität: 0,840
Inklination: 72,7°
Länge des aufsteigenden Knotens: 249,2°
Argument des Perihels: 194,6°
Mittlere Anomalie: 359,3°
Epoche: 2024 DEC 01 06:18:26
orbit plot

Nicht-interaktives Diagramm | Interaktives Diagramm

position vs time
speed and acceleration