🇳🇴 🇬🇧 🇩🇪 🇨🇿 🇫🇮

Meteor, poloha: Kristinehamn 2024-12-03 00:22:11 UTC

Soubor KML  |  InteraktivnĂ­ mapa

Mapa zobrazuje dráhy meteoru. Světlejší čáry ukazují směry od pozorovacích stanic při objevení se meteoru a tmavší čáry, kde byl naposledy viděn. Modrá šipka značí viditelnou dráhu meteoru.

static map
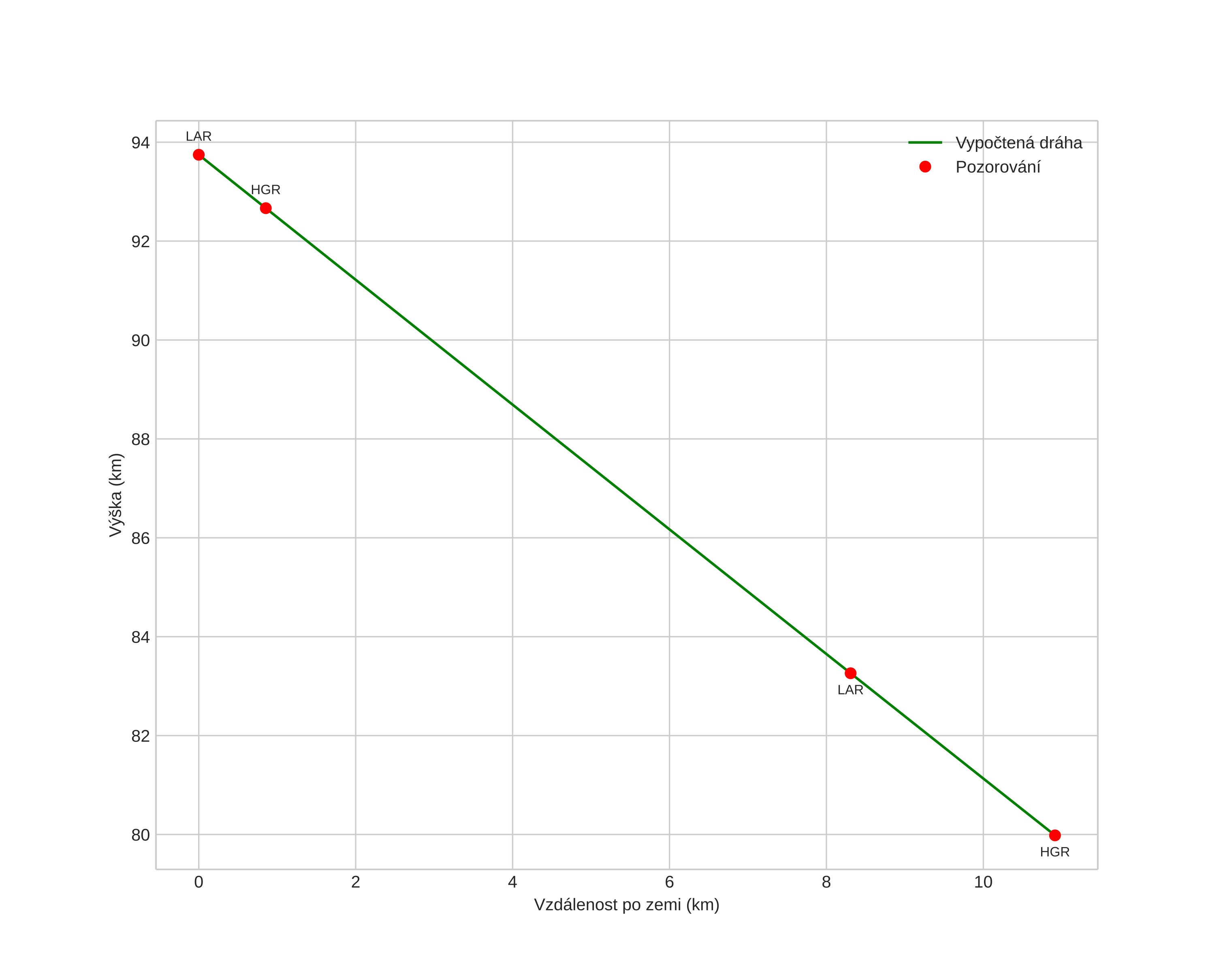
height profile
Atmosférická dráha meteoru:
Počáteční výška: 93,5 km
Konečná výška: 79,5 km
Počáteční poloha: 59,398N 13,789E
Konečná poloha: 59,322N 13,900E
Směr: 143,0°
Sklon: 53,2°
VstupnĂ­ rychlost: 22,9 km/s
Rektascenze radiantu: 23:41 (355,4°)
Deklinace radiantu: 66,7°
MeteorickĂ˝ roj: sporadickĂ˝
Elementy dráhy meteoroidu:
Vzdálenost v periheliu: 0,930 AU
Excentricita: 0,836
Sklon dráhy: 25,8°
Délka vzestupného uzlu: 251,0°
Argument perihelia: 209,0°
Střední anomálie: 358,5°
Epocha: 2024 DEC 03 00:22:11
orbit plot

NeinteraktivnĂ­ graf | InteraktivnĂ­ graf

position vs time
speed and acceleration