🇳🇴 🇬🇧 🇩🇪 🇨🇿 🇫🇮

Meteor über Kristinehamn 2024-12-03 00:22:11 UTC

KML-Datei  |  Interaktive Karte

Die Karte zeigt die Peilungen für den Meteor. Die helleren Linien zeigen die Richtungen von den Beobachtungsorten beim Erscheinen des Meteors, und die dunkleren Linien, wo er zuletzt gesehen wurde. Der blaue Pfeil zeigt die sichtbare Bahn des Meteors.

static map
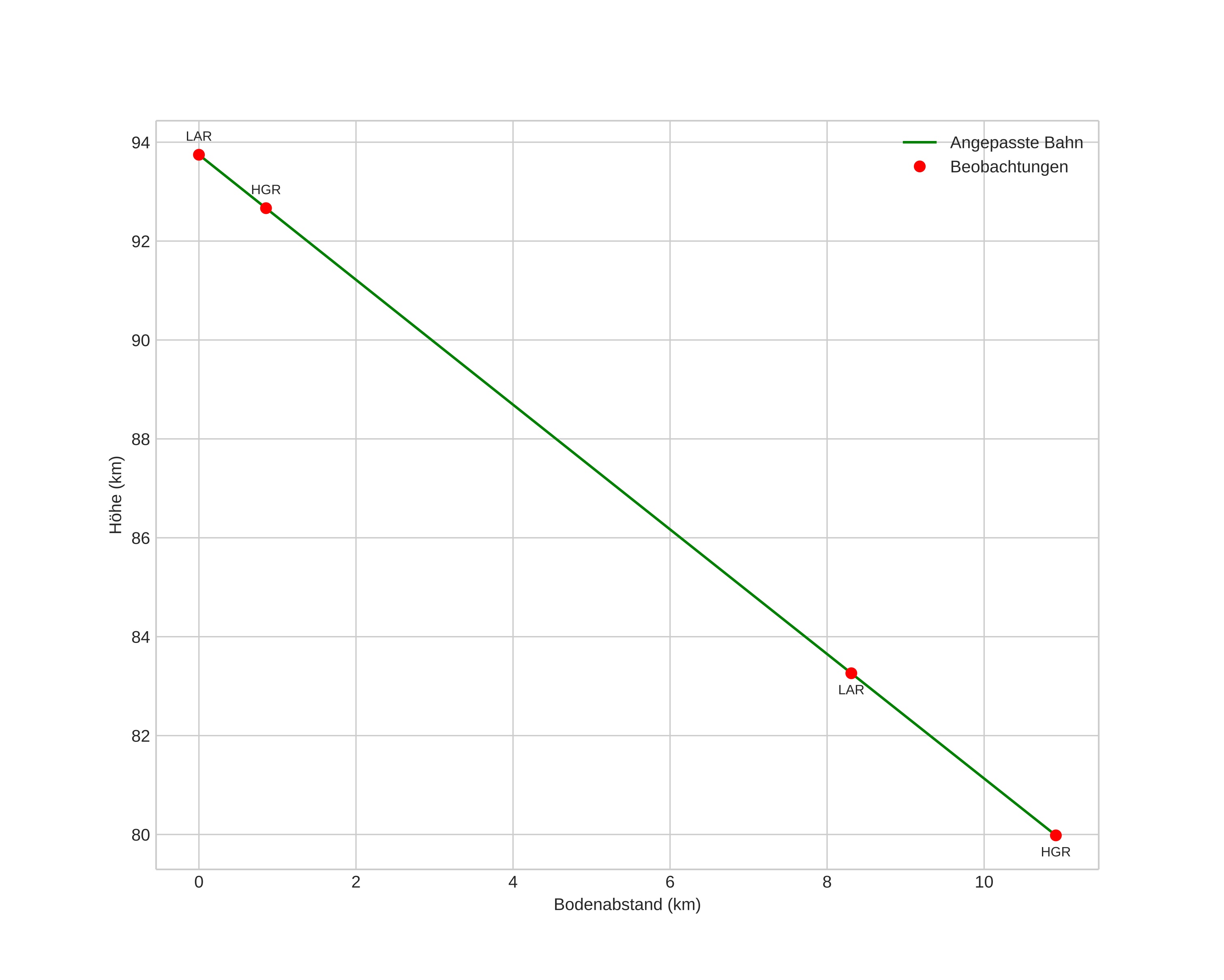
height profile
Atmosphärische Bahn des Meteors:
Anfangshöhe: 93,5 km
Endhöhe: 79,5 km
Startposition: 59,398N 13,789E
Endposition: 59,322N 13,900E
Richtung: 143,0°
Neigungswinkel: 53,2°
Eintrittsgeschwindigkeit: 22,9 km/s
Rektaszension des Radianten: 23:41 (355,4°)
Deklination des Radianten: 66,7°
Meteorstrom: sporadisch
Bahnelemente des Meteoroiden:
Periheldistanz: 0,930 AU
Exzentrizität: 0,836
Inklination: 25,8°
Länge des aufsteigenden Knotens: 251,0°
Argument des Perihels: 209,0°
Mittlere Anomalie: 358,5°
Epoche: 2024 DEC 03 00:22:11
orbit plot

Nicht-interaktives Diagramm | Interaktives Diagramm

position vs time
speed and acceleration