🇳🇴 🇬🇧 🇩🇪 🇨🇿 🇫🇮

Meteor, poloha: Rättvik 2024-12-03 01:28:53 UTC

Soubor KML  |  InteraktivnĂ­ mapa

Mapa zobrazuje dráhy meteoru. Světlejší čáry ukazují směry od pozorovacích stanic při objevení se meteoru a tmavší čáry, kde byl naposledy viděn. Modrá šipka značí viditelnou dráhu meteoru.

static map
height profile
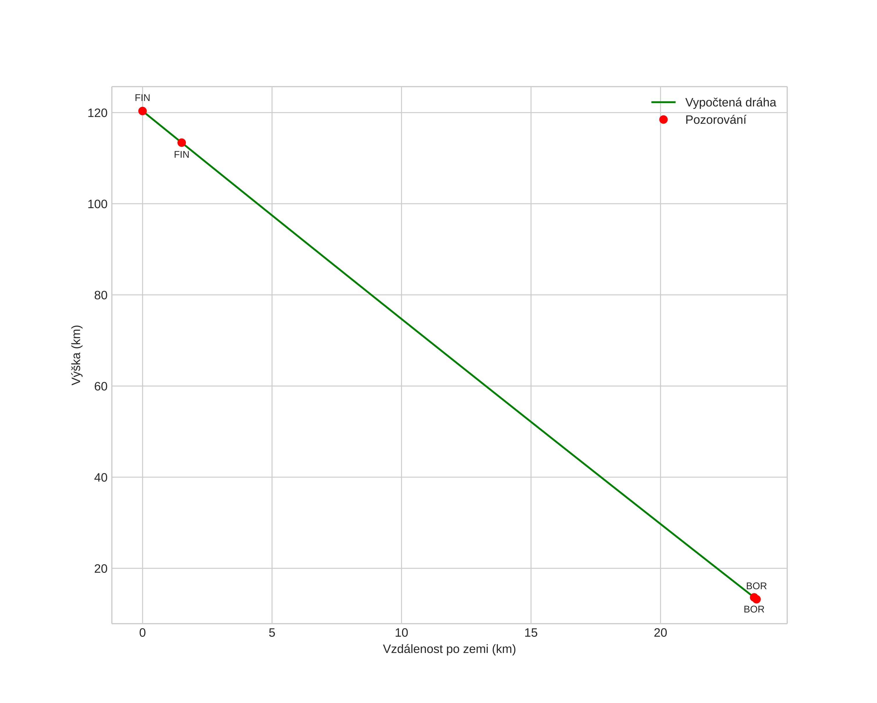
Atmosférická dráha meteoru:
Počáteční výška: 120,4 km
Konečná výška: 13,2 km
Počáteční poloha: 60,750N 14,969E
Konečná poloha: 60,893N 15,295E
Směr: 48,0°
Sklon: 77,5°
VstupnĂ­ rychlost: 37,3 km/s
Rektascenze radiantu: 06:13 (93,3°)
Deklinace radiantu: 50,9°
MeteorickĂ˝ roj: sporadickĂ˝
Elementy dráhy meteoroidu:
Vzdálenost v periheliu: 0,362 AU
Excentricita: 0,881
Sklon dráhy: 41,4°
Délka vzestupného uzlu: 251,0°
Argument perihelia: 290,6°
Střední anomálie: 352,5°
Epocha: 2024 DEC 03 01:28:53
orbit plot

NeinteraktivnĂ­ graf | InteraktivnĂ­ graf

position vs time
speed and acceleration