🇳🇴 🇬🇧 🇩🇪 🇨🇿 🇫🇮

Meteor Rättvikin yllä 2024-12-03 01:28:53 UTC

KML-tiedosto  |  Interaktiivinen kartta

Kartta näyttää meteorin suuntahavainnot. Vaaleammat viivat näyttävät suunnat havaintoasemilta meteorin ilmestyessä, ja tummemmat viivat näyttävät, missä se viimeksi nähtiin. Sininen nuoli näyttää meteorin näkyvän lennon.

static map
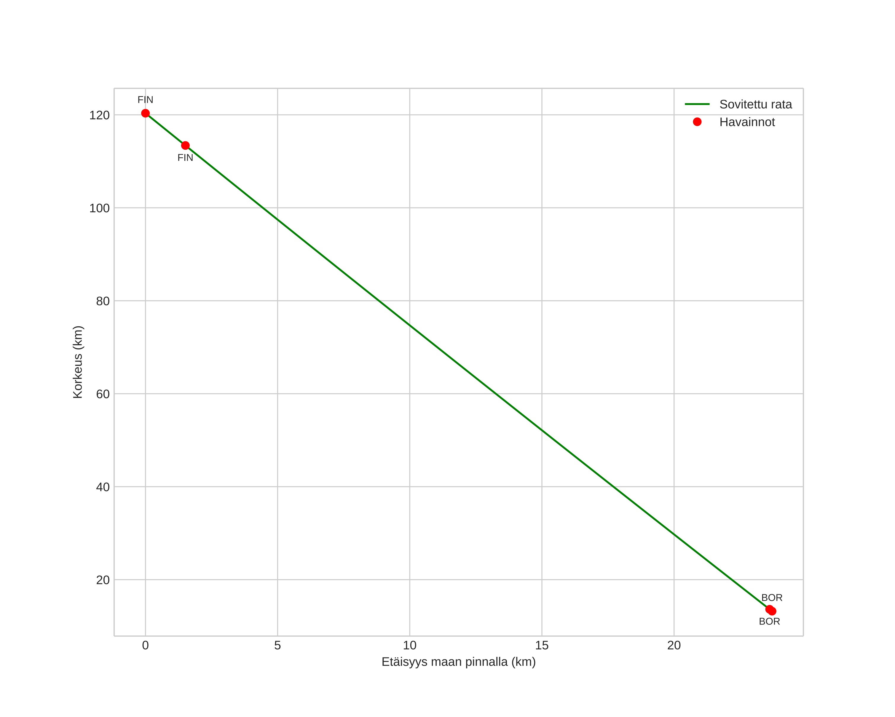
height profile
Meteorin ilmakehärata:
Alkukorkeus: 120,4 km
Loppukorkeus: 13,2 km
Alkupiste: 60,750N 14,969E
Loppupiste: 60,893N 15,295E
Suunta: 48,0°
Kallistuskulma: 77,5°
Tulonopeus: 37,3 km/s
Radiantin R,A,: 06:13 (93,3°)
Radiantin Dekl,: 50,9°
Meteoriparvi: Sporadinen
Meteoroidin rataelementit:
Perihelietäisyys: 0,362 AU
Eksentrisyys: 0,881
Inklinaatio: 41,4°
Nousevan solmun pituus: 251,0°
Perihelin argumentti: 290,6°
Keskianomalia: 352,5°
Epookki: 2024 DEC 03 01:28:53
orbit plot

Ei-interaktiivinen kuvaaja | Interaktiivinen kuvaaja

position vs time
speed and acceleration