🇳🇴 🇬🇧 🇩🇪 🇨🇿 🇫🇮

Meteor, poloha: Frydenberg 2024-12-03 01:34:42 UTC

Soubor KML  |  InteraktivnĂ­ mapa

Mapa zobrazuje dráhy meteoru. Světlejší čáry ukazují směry od pozorovacích stanic při objevení se meteoru a tmavší čáry, kde byl naposledy viděn. Modrá šipka značí viditelnou dráhu meteoru.

static map
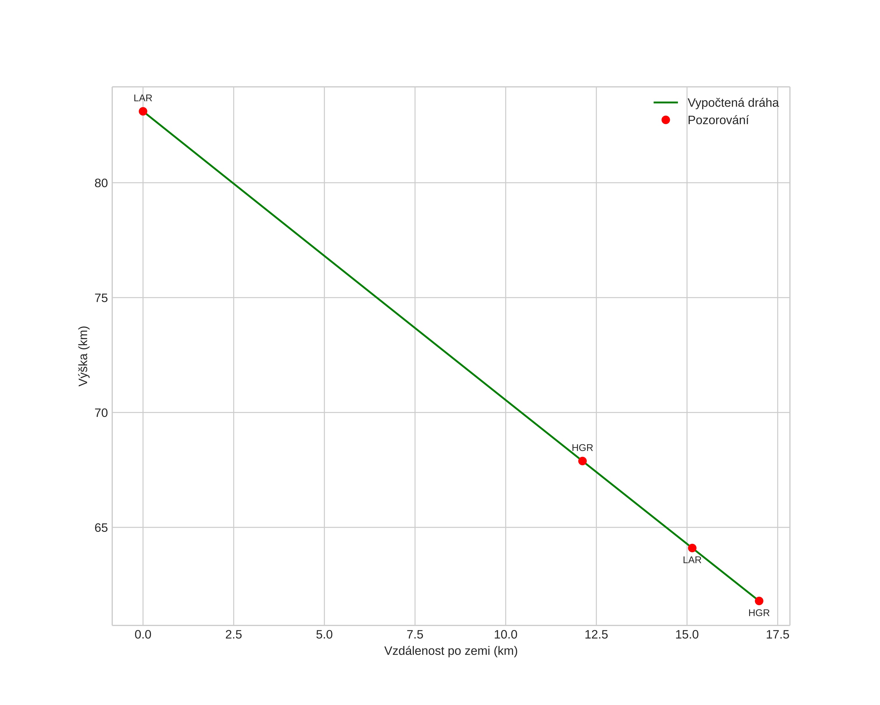
height profile
Atmosférická dráha meteoru:
Počáteční výška: 83,7 km
Konečná výška: 62,0 km
Počáteční poloha: 59,858N 10,601E
Konečná poloha: 59,969N 10,818E
Směr: 44,3°
Sklon: 51,5°
VstupnĂ­ rychlost: 27,3 km/s
Rektascenze radiantu: 05:03 (75,8°)
Deklinace radiantu: 25,0°
MeteorickĂ˝ roj: SevernĂ­ Tauridy
Elementy dráhy meteoroidu:
Vzdálenost v periheliu: 0,466 AU
Excentricita: 0,786
Sklon dráhy: 2,0°
Délka vzestupného uzlu: 250,9°
Argument perihelia: 281,5°
Střední anomálie: 346,4°
Epocha: 2024 DEC 03 01:34:42
orbit plot

NeinteraktivnĂ­ graf | InteraktivnĂ­ graf

position vs time
speed and acceleration

Larvik (LAR) cam2


gnomonic
Videa
• Gnomonická
• Gnomonická se souřadnicemi
• Původní
• Původní se souřadnicemi
Obrázky
• Gnomonická
• Gnomonická se souřadnicemi
• Původní
• Původní se souřadnicemi
Textové soubory
• Detekce
• Pozorování
• Protokol
Jasnost