🇳🇴 🇬🇧 🇩🇪 🇨🇿 🇫🇮

Meteor über Frydenberg 2024-12-03 01:34:42 UTC

KML-Datei  |  Interaktive Karte

Die Karte zeigt die Peilungen für den Meteor. Die helleren Linien zeigen die Richtungen von den Beobachtungsorten beim Erscheinen des Meteors, und die dunkleren Linien, wo er zuletzt gesehen wurde. Der blaue Pfeil zeigt die sichtbare Bahn des Meteors.

static map
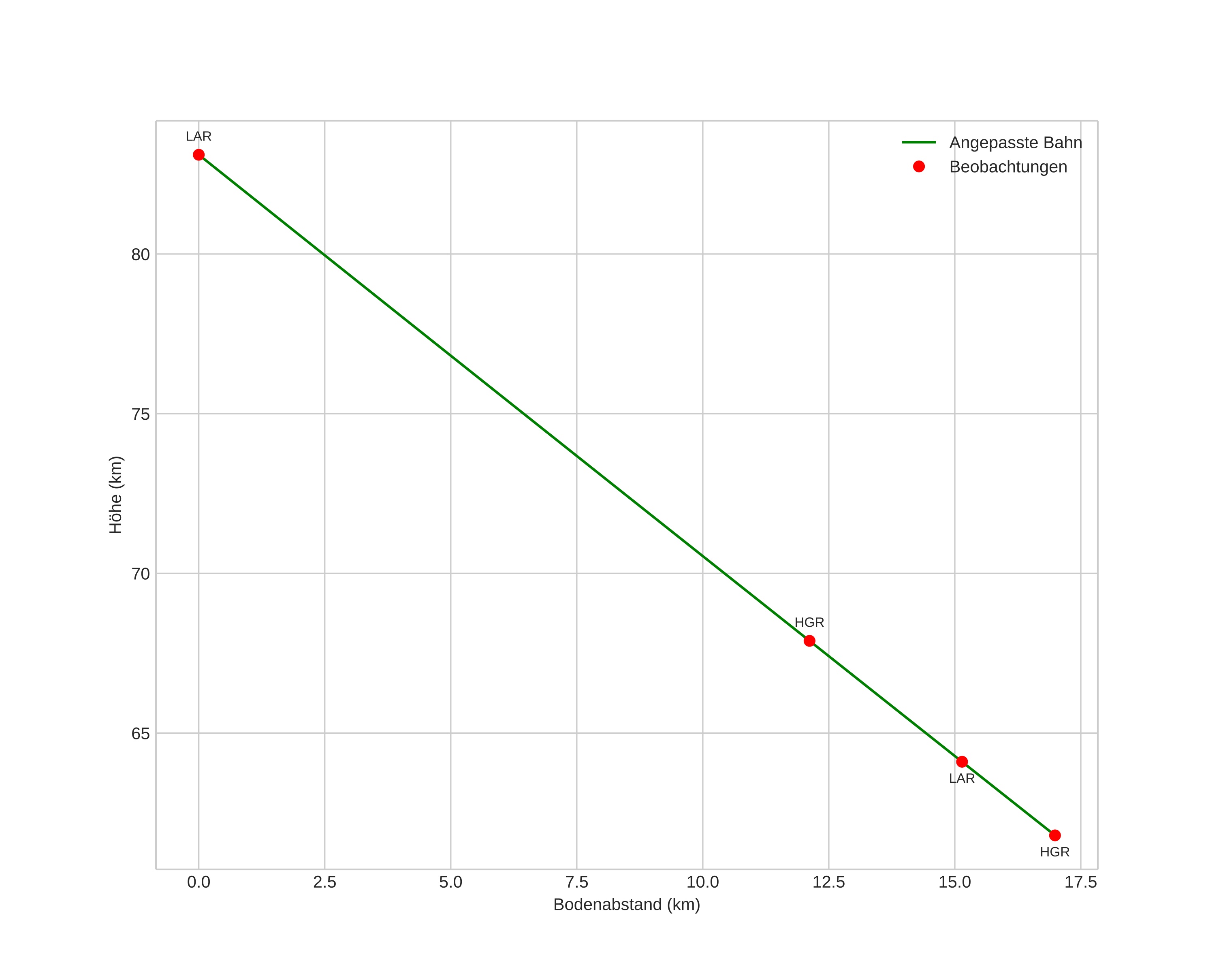
height profile
Atmosphärische Bahn des Meteors:
Anfangshöhe: 83,7 km
Endhöhe: 62,0 km
Startposition: 59,858N 10,601E
Endposition: 59,969N 10,818E
Richtung: 44,3°
Neigungswinkel: 51,5°
Eintrittsgeschwindigkeit: 27,3 km/s
Rektaszension des Radianten: 05:03 (75,8°)
Deklination des Radianten: 25,0°
Meteorstrom: Nördliche Tauriden
Bahnelemente des Meteoroiden:
Periheldistanz: 0,466 AU
Exzentrizität: 0,786
Inklination: 2,0°
Länge des aufsteigenden Knotens: 250,9°
Argument des Perihels: 281,5°
Mittlere Anomalie: 346,4°
Epoche: 2024 DEC 03 01:34:42
orbit plot

Nicht-interaktives Diagramm | Interaktives Diagramm

position vs time
speed and acceleration

Larvik (LAR) cam2


gnomonic
Videos
• Gnomonisch
• Gnomonisch mit Koordinaten
• Original
• Original mit Koordinaten
Bilder
• Gnomonisch
• Gnomonisch mit Koordinaten
• Original
• Original mit Koordinaten
Textdateien
• Erkennung
• Beobachtung
• Protokoll
Helligkeit