🇳🇴 🇬🇧 🇩🇪 🇨🇿 🇫🇮

Meteor, poloha: Tysse 2024-12-03 01:58:46 UTC

Soubor KML  |  InteraktivnĂ­ mapa

Mapa zobrazuje dráhy meteoru. Světlejší čáry ukazují směry od pozorovacích stanic při objevení se meteoru a tmavší čáry, kde byl naposledy viděn. Modrá šipka značí viditelnou dráhu meteoru.

static map
height profile
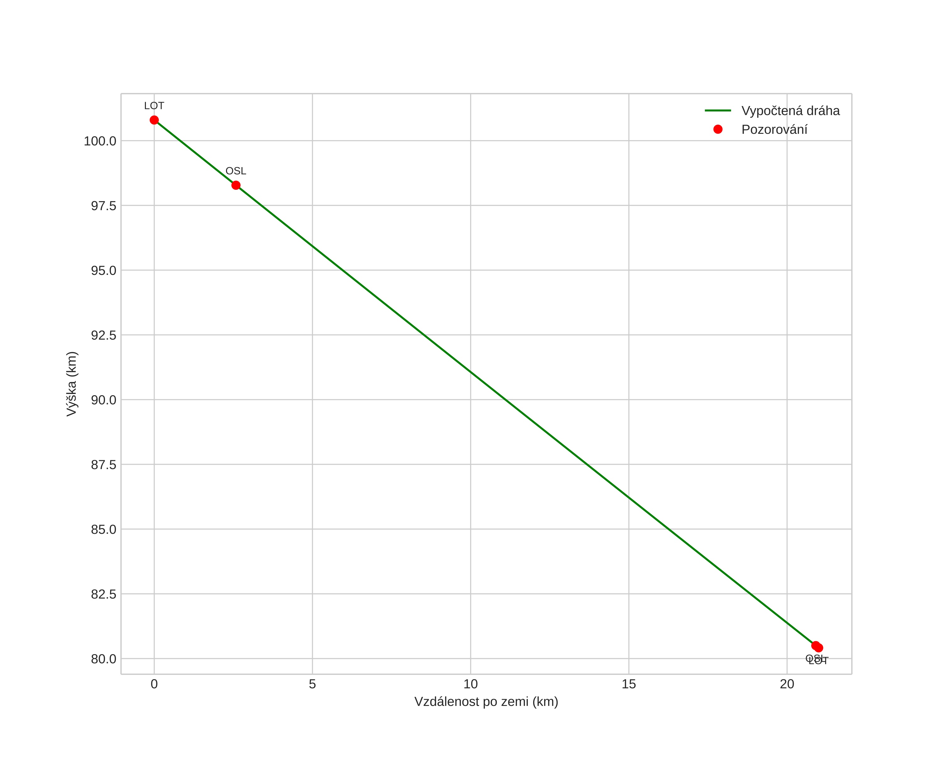
Atmosférická dráha meteoru:
Počáteční výška: 103,3 km
Konečná výška: 80,5 km
Počáteční poloha: 60,106N 5,795E
Konečná poloha: 60,310N 5,929E
Směr: 18,0°
Sklon: 43,7°
VstupnĂ­ rychlost: 44,3 km/s
Rektascenze radiantu: 06:14 (93,6°)
Deklinace radiantu: 14,0°
MeteorickĂ˝ roj: Monocerotidy
Elementy dráhy meteoroidu:
Vzdálenost v periheliu: 0,134 AU
Excentricita: 1,000
Sklon dráhy: 26,6°
Délka vzestupného uzlu: 71,1°
Argument perihelia: 136,8°
Střední anomálie: -0,0°
Epocha: 2024 DEC 03 01:58:46
orbit plot

NeinteraktivnĂ­ graf | InteraktivnĂ­ graf

position vs time
speed and acceleration