🇳🇴 🇬🇧 🇩🇪 🇨🇿 🇫🇮

Meteor Tyssen yllä 2024-12-03 01:58:46 UTC

KML-tiedosto  |  Interaktiivinen kartta

Kartta näyttää meteorin suuntahavainnot. Vaaleammat viivat näyttävät suunnat havaintoasemilta meteorin ilmestyessä, ja tummemmat viivat näyttävät, missä se viimeksi nähtiin. Sininen nuoli näyttää meteorin näkyvän lennon.

static map
height profile
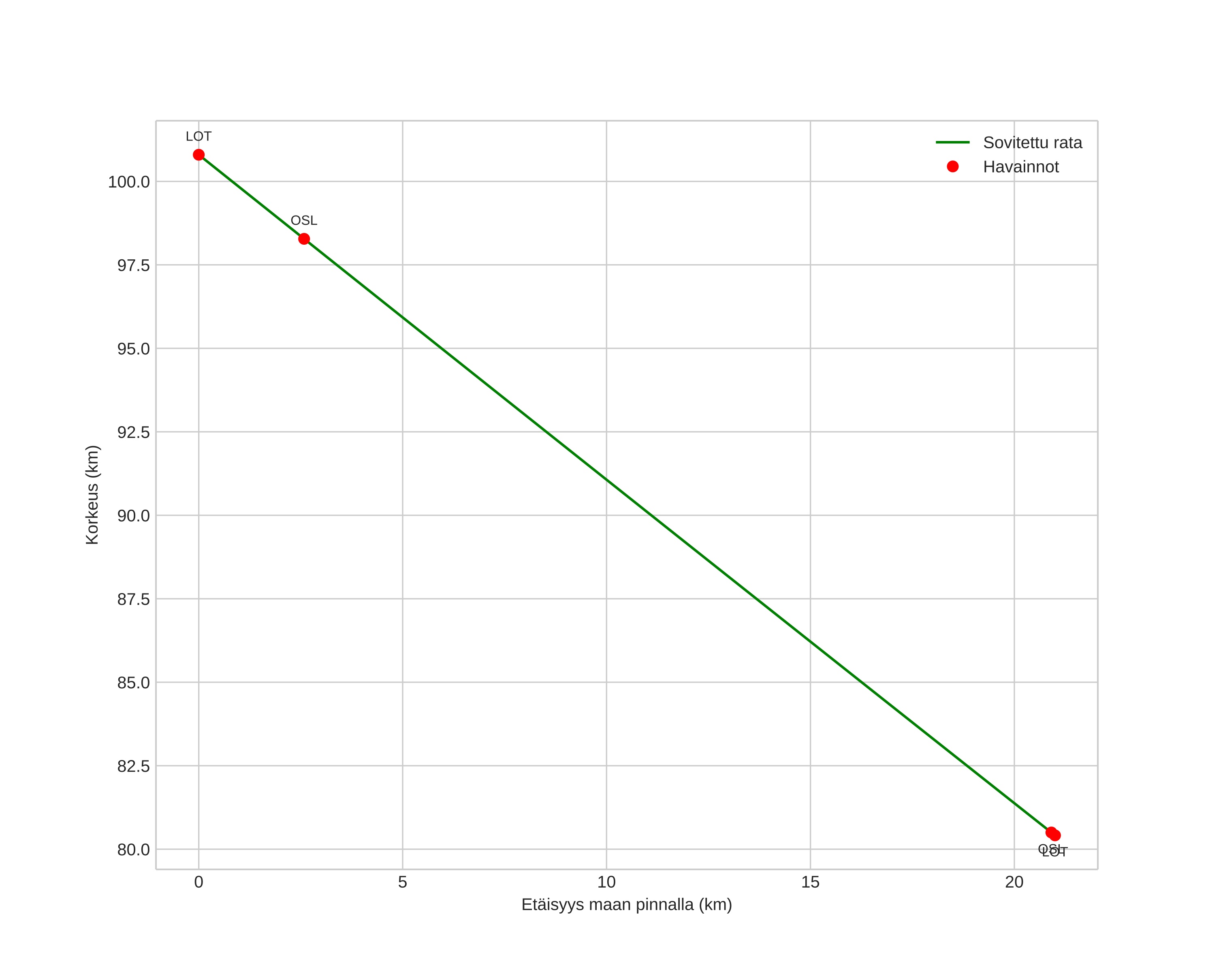
Meteorin ilmakehärata:
Alkukorkeus: 103,3 km
Loppukorkeus: 80,5 km
Alkupiste: 60,106N 5,795E
Loppupiste: 60,310N 5,929E
Suunta: 18,0°
Kallistuskulma: 43,7°
Tulonopeus: 44,3 km/s
Radiantin R,A,: 06:14 (93,6°)
Radiantin Dekl,: 14,0°
Meteoriparvi: Monoserotidit
Meteoroidin rataelementit:
Perihelietäisyys: 0,134 AU
Eksentrisyys: 1,000
Inklinaatio: 26,6°
Nousevan solmun pituus: 71,1°
Perihelin argumentti: 136,8°
Keskianomalia: -0,0°
Epookki: 2024 DEC 03 01:58:46
orbit plot

Ei-interaktiivinen kuvaaja | Interaktiivinen kuvaaja

position vs time
speed and acceleration