🇳🇴 🇬🇧 🇩🇪 🇨🇿 🇫🇮

Meteor, poloha: Kirkenær 2024-12-03 02:29:14 UTC

Soubor KML  |  InteraktivnĂ­ mapa

Mapa zobrazuje dráhy meteoru. Světlejší čáry ukazují směry od pozorovacích stanic při objevení se meteoru a tmavší čáry, kde byl naposledy viděn. Modrá šipka značí viditelnou dráhu meteoru.

static map
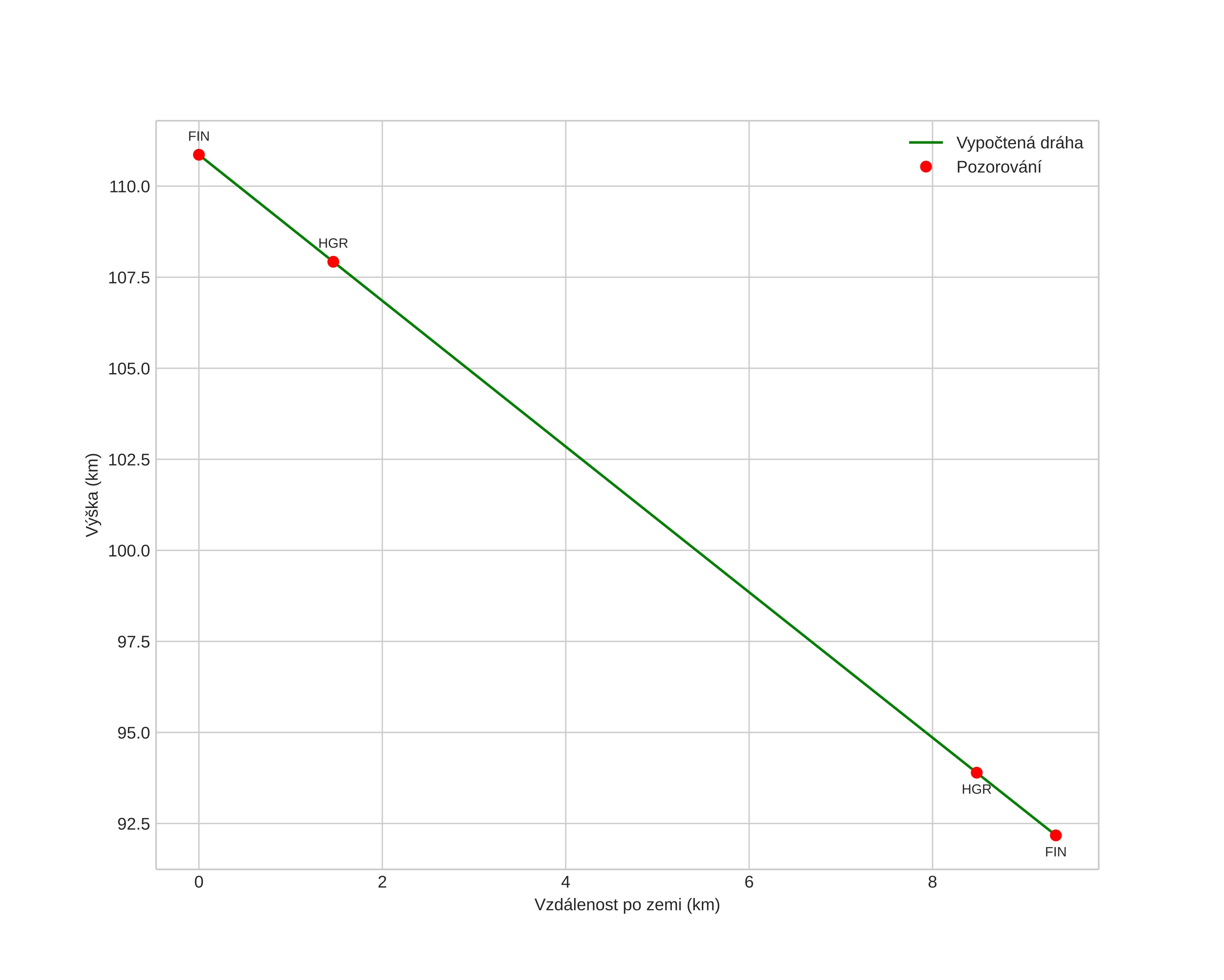
height profile
Atmosférická dráha meteoru:
Počáteční výška: 110,4 km
Konečná výška: 93,4 km
Počáteční poloha: 60,411N 12,697E
Konečná poloha: 60,468N 12,588E
Směr: 316,8°
Sklon: 62,9°
VstupnĂ­ rychlost: 64,9 km/s
Rektascenze radiantu: 09:39 (144,9°)
Deklinace radiantu: 37,5°
MeteorickĂ˝ roj: sporadickĂ˝
Elementy dráhy meteoroidu:
Vzdálenost v periheliu: 0,598 AU
Excentricita: 1,004
Sklon dráhy: 133,3°
Délka vzestupného uzlu: 251,1°
Argument perihelia: 257,6°
Střední anomálie: -0,0°
Epocha: 2024 DEC 03 02:29:14
orbit plot

NeinteraktivnĂ­ graf | InteraktivnĂ­ graf

position vs time
speed and acceleration