🇳🇴 🇬🇧 🇩🇪 🇨🇿 🇫🇮

Meteor Kirkenærin yllä 2024-12-03 02:29:14 UTC

KML-tiedosto  |  Interaktiivinen kartta

Kartta näyttää meteorin suuntahavainnot. Vaaleammat viivat näyttävät suunnat havaintoasemilta meteorin ilmestyessä, ja tummemmat viivat näyttävät, missä se viimeksi nähtiin. Sininen nuoli näyttää meteorin näkyvän lennon.

static map
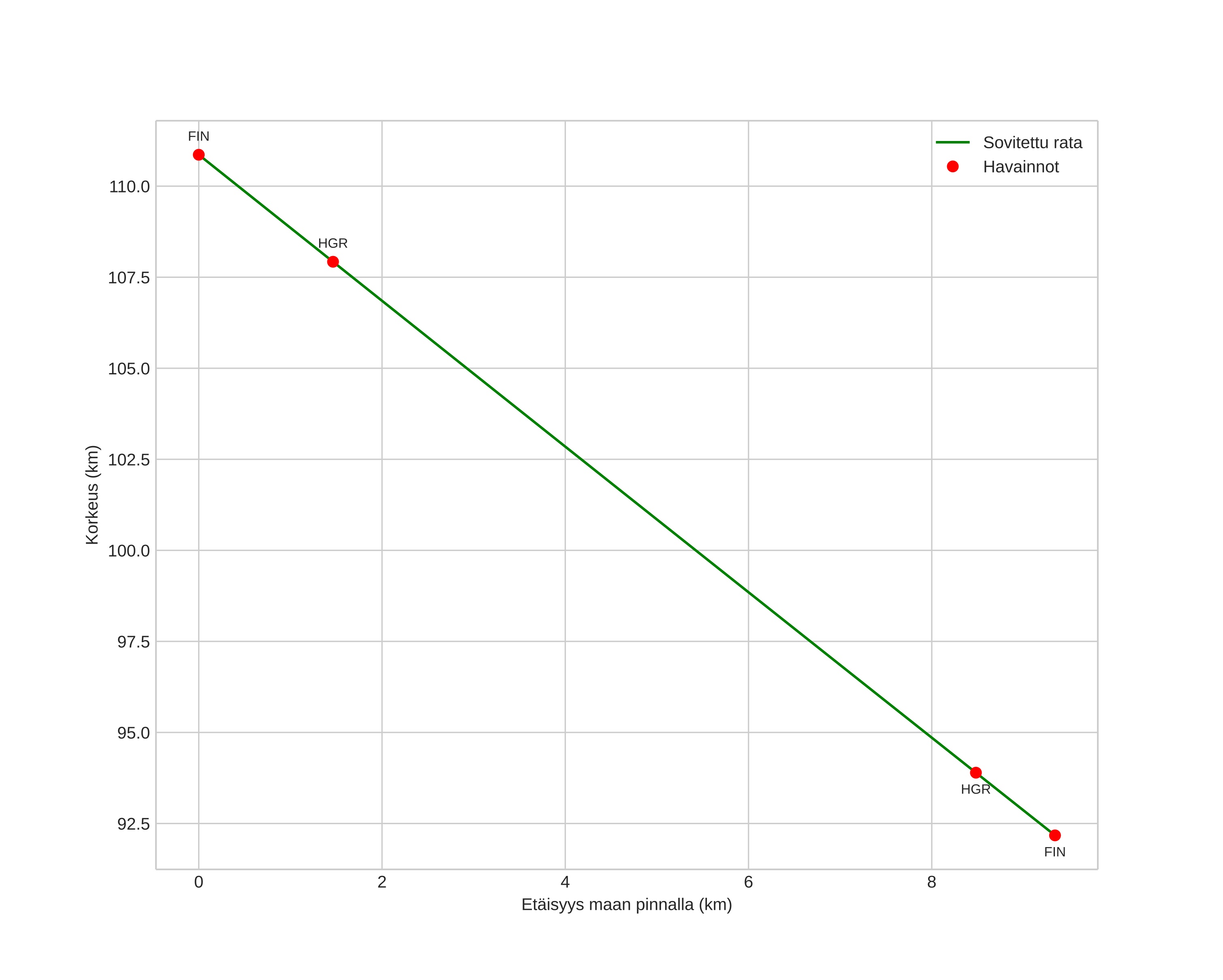
height profile
Meteorin ilmakehärata:
Alkukorkeus: 110,4 km
Loppukorkeus: 93,4 km
Alkupiste: 60,411N 12,697E
Loppupiste: 60,468N 12,588E
Suunta: 316,8°
Kallistuskulma: 62,9°
Tulonopeus: 64,9 km/s
Radiantin R,A,: 09:39 (144,9°)
Radiantin Dekl,: 37,5°
Meteoriparvi: Sporadinen
Meteoroidin rataelementit:
Perihelietäisyys: 0,598 AU
Eksentrisyys: 1,004
Inklinaatio: 133,3°
Nousevan solmun pituus: 251,1°
Perihelin argumentti: 257,6°
Keskianomalia: -0,0°
Epookki: 2024 DEC 03 02:29:14
orbit plot

Ei-interaktiivinen kuvaaja | Interaktiivinen kuvaaja

position vs time
speed and acceleration