🇳🇴 🇬🇧 🇩🇪 🇨🇿 🇫🇮

Meteor, poloha: Färgelanda 2024-12-03 03:01:08 UTC

Soubor KML  |  InteraktivnĂ­ mapa

Mapa zobrazuje dráhy meteoru. Světlejší čáry ukazují směry od pozorovacích stanic při objevení se meteoru a tmavší čáry, kde byl naposledy viděn. Modrá šipka značí viditelnou dráhu meteoru.

static map
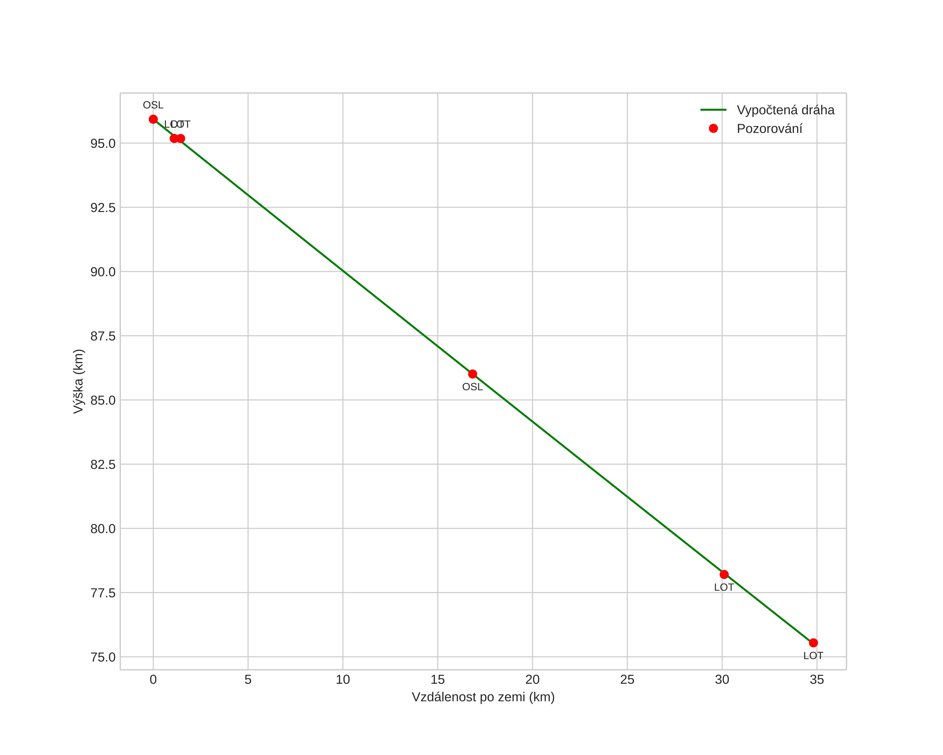
height profile
Atmosférická dráha meteoru:
Počáteční výška: 97,7 km
Konečná výška: 75,7 km
Počáteční poloha: 58,632N 11,359E
Konečná poloha: 58,707N 11,971E
Směr: 76,4°
Sklon: 31,2°
VstupnĂ­ rychlost: 22,2 km/s
Rektascenze radiantu: 04:15 (63,8°)
Deklinace radiantu: 15,6°
MeteorickĂ˝ roj: sporadickĂ˝
Elementy dráhy meteoroidu:
Vzdálenost v periheliu: 0,668 AU
Excentricita: 0,725
Sklon dráhy: 3,3°
Délka vzestupného uzlu: 71,1°
Argument perihelia: 76,4°
Střední anomálie: 348,9°
Epocha: 2024 DEC 03 03:01:08
orbit plot

NeinteraktivnĂ­ graf | InteraktivnĂ­ graf

position vs time
speed and acceleration

Voksenlia (OSL) cam3


gnomonic
Videa
• Gnomonická
• Gnomonická se souřadnicemi
• Původní
• Původní se souřadnicemi
Obrázky
• Gnomonická
• Gnomonická se souřadnicemi
• Původní
• Původní se souřadnicemi
Textové soubory
• Detekce
• Pozorování
• Protokol
Jasnost