🇳🇴 🇬🇧 🇩🇪 🇨🇿 🇫🇮

Meteor über Färgelanda 2024-12-03 03:01:08 UTC

KML-Datei  |  Interaktive Karte

Die Karte zeigt die Peilungen für den Meteor. Die helleren Linien zeigen die Richtungen von den Beobachtungsorten beim Erscheinen des Meteors, und die dunkleren Linien, wo er zuletzt gesehen wurde. Der blaue Pfeil zeigt die sichtbare Bahn des Meteors.

static map
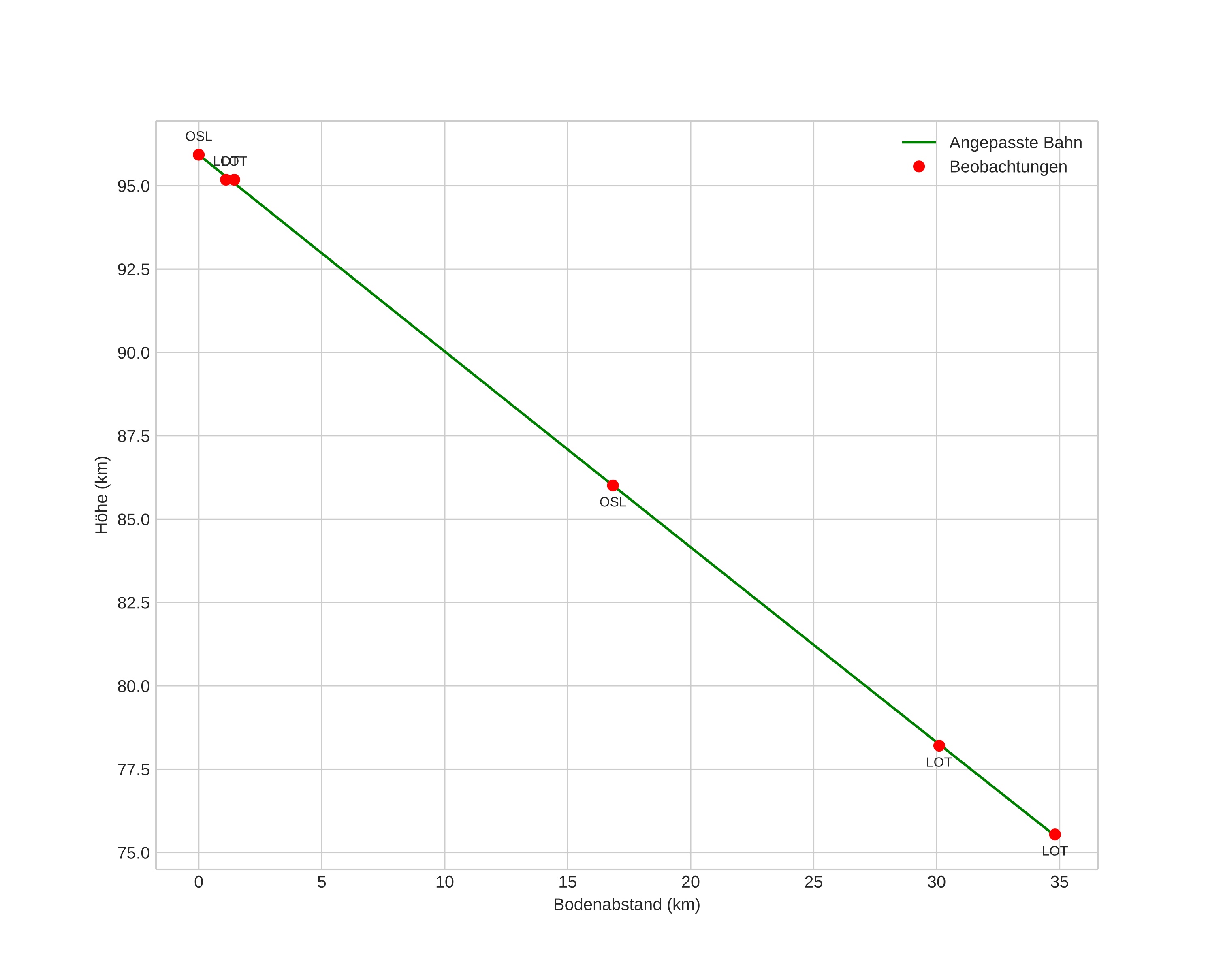
height profile
Atmosphärische Bahn des Meteors:
Anfangshöhe: 97,7 km
Endhöhe: 75,7 km
Startposition: 58,632N 11,359E
Endposition: 58,707N 11,971E
Richtung: 76,4°
Neigungswinkel: 31,2°
Eintrittsgeschwindigkeit: 22,2 km/s
Rektaszension des Radianten: 04:15 (63,8°)
Deklination des Radianten: 15,6°
Meteorstrom: sporadisch
Bahnelemente des Meteoroiden:
Periheldistanz: 0,668 AU
Exzentrizität: 0,725
Inklination: 3,3°
Länge des aufsteigenden Knotens: 71,1°
Argument des Perihels: 76,4°
Mittlere Anomalie: 348,9°
Epoche: 2024 DEC 03 03:01:08
orbit plot

Nicht-interaktives Diagramm | Interaktives Diagramm

position vs time
speed and acceleration

Voksenlia (OSL) cam3


gnomonic
Videos
• Gnomonisch
• Gnomonisch mit Koordinaten
• Original
• Original mit Koordinaten
Bilder
• Gnomonisch
• Gnomonisch mit Koordinaten
• Original
• Original mit Koordinaten
Textdateien
• Erkennung
• Beobachtung
• Protokoll
Helligkeit