🇳🇴 🇬🇧 🇩🇪 🇨🇿 🇫🇮

Meteor, poloha: Färgelanda 2024-12-03 03:01:09 UTC

Soubor KML  |  InteraktivnĂ­ mapa

Mapa zobrazuje dráhy meteoru. Světlejší čáry ukazují směry od pozorovacích stanic při objevení se meteoru a tmavší čáry, kde byl naposledy viděn. Modrá šipka značí viditelnou dráhu meteoru.

static map
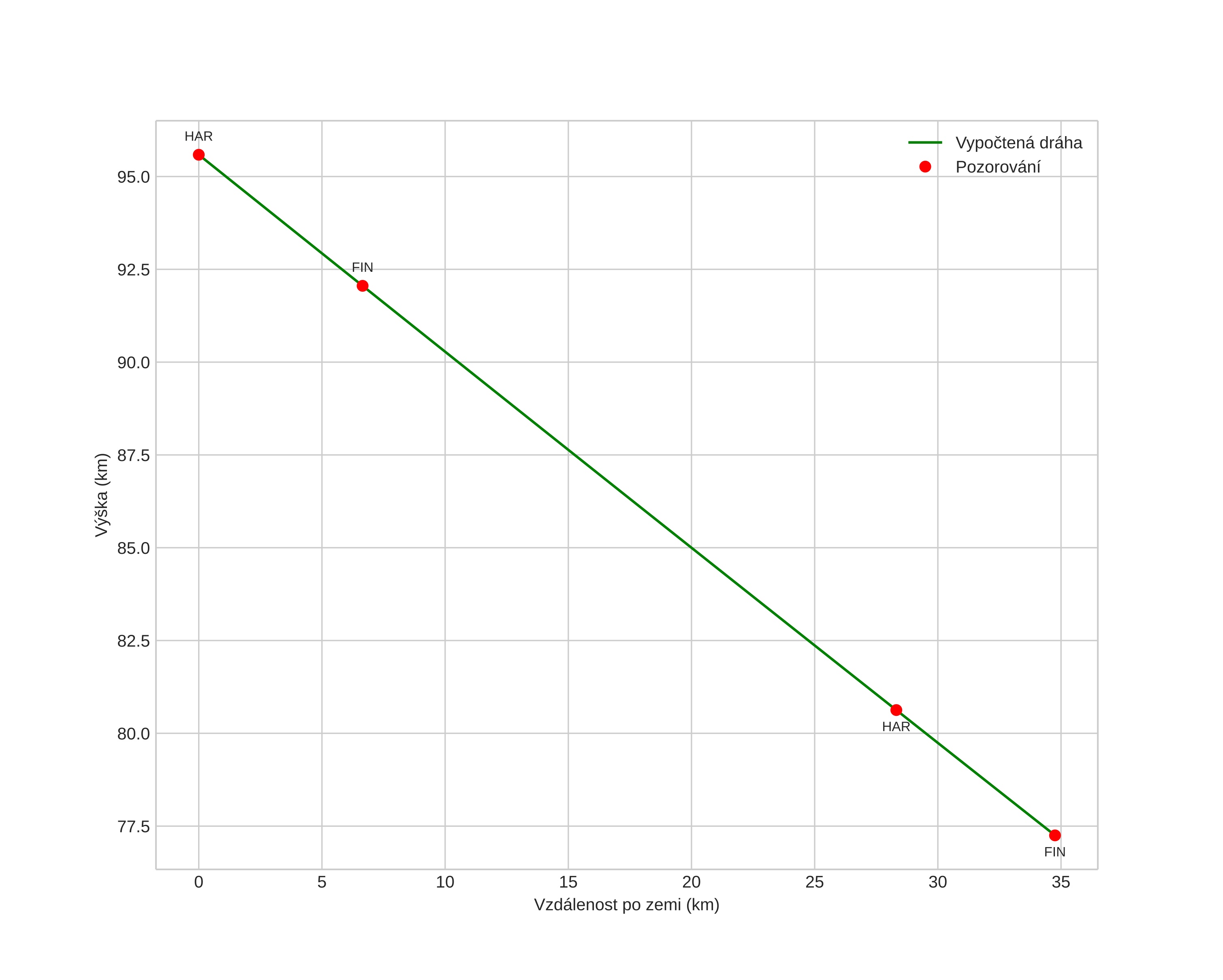
height profile
Atmosférická dráha meteoru:
Počáteční výška: 95,6 km
Konečná výška: 76,7 km
Počáteční poloha: 58,664N 11,368E
Konečná poloha: 58,676N 11,990E
Směr: 87,6°
Sklon: 27,7°
VstupnĂ­ rychlost: 21,3 km/s
Rektascenze radiantu: 03:30 (52,5°)
Deklinace radiantu: 17,4°
MeteorickĂ˝ roj: sporadickĂ˝
Elementy dráhy meteoroidu:
Vzdálenost v periheliu: 0,761 AU
Excentricita: 0,812
Sklon dráhy: 0,8°
Délka vzestupného uzlu: 71,3°
Argument perihelia: 60,3°
Střední anomálie: 355,6°
Epocha: 2024 DEC 03 03:01:09
orbit plot

NeinteraktivnĂ­ graf | InteraktivnĂ­ graf

position vs time
speed and acceleration