🇳🇴 🇬🇧 🇩🇪 🇨🇿 🇫🇮

Meteor Färgelandan yllä 2024-12-03 03:01:09 UTC

KML-tiedosto  |  Interaktiivinen kartta

Kartta näyttää meteorin suuntahavainnot. Vaaleammat viivat näyttävät suunnat havaintoasemilta meteorin ilmestyessä, ja tummemmat viivat näyttävät, missä se viimeksi nähtiin. Sininen nuoli näyttää meteorin näkyvän lennon.

static map
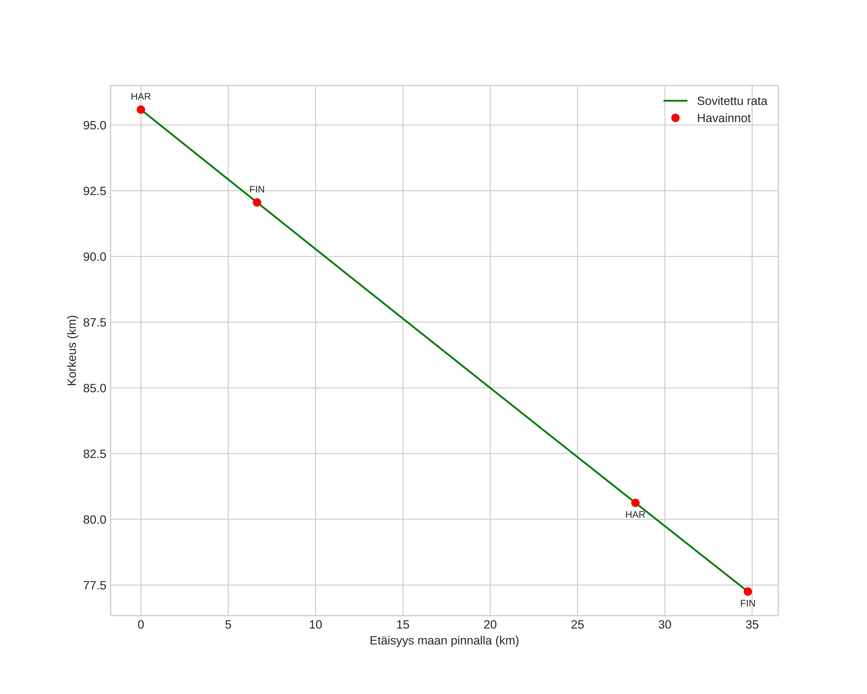
height profile
Meteorin ilmakehärata:
Alkukorkeus: 95,6 km
Loppukorkeus: 76,7 km
Alkupiste: 58,664N 11,368E
Loppupiste: 58,676N 11,990E
Suunta: 87,6°
Kallistuskulma: 27,7°
Tulonopeus: 21,3 km/s
Radiantin R,A,: 03:30 (52,5°)
Radiantin Dekl,: 17,4°
Meteoriparvi: Sporadinen
Meteoroidin rataelementit:
Perihelietäisyys: 0,761 AU
Eksentrisyys: 0,812
Inklinaatio: 0,8°
Nousevan solmun pituus: 71,3°
Perihelin argumentti: 60,3°
Keskianomalia: 355,6°
Epookki: 2024 DEC 03 03:01:09
orbit plot

Ei-interaktiivinen kuvaaja | Interaktiivinen kuvaaja

position vs time
speed and acceleration