🇳🇴 🇬🇧 🇩🇪 🇨🇿 🇫🇮

Meteor, poloha: Førde 2024-12-03 03:58:14 UTC

Soubor KML  |  InteraktivnĂ­ mapa

Mapa zobrazuje dráhy meteoru. Světlejší čáry ukazují směry od pozorovacích stanic při objevení se meteoru a tmavší čáry, kde byl naposledy viděn. Modrá šipka značí viditelnou dráhu meteoru.

static map
height profile
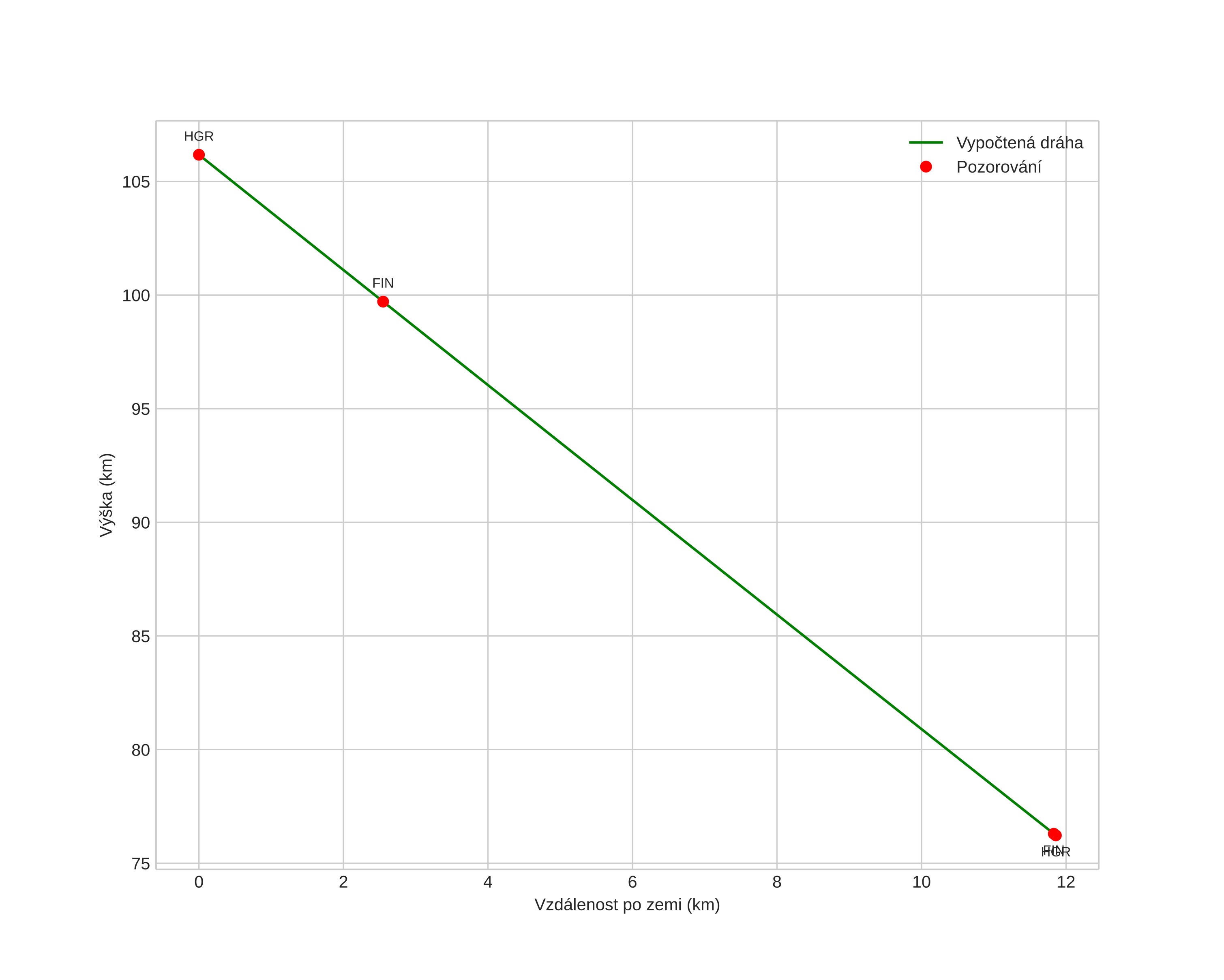
Atmosférická dráha meteoru:
Počáteční výška: 106,8 km
Konečná výška: 76,3 km
Počáteční poloha: 61,538N 5,978E
Konečná poloha: 61,448N 5,853E
Směr: 213,7°
Sklon: 68,5°
VstupnĂ­ rychlost: 46,2 km/s
Rektascenze radiantu: 12:28 (187,2°)
Deklinace radiantu: 74,7°
MeteorickĂ˝ roj: sporadickĂ˝
Elementy dráhy meteoroidu:
Vzdálenost v periheliu: 0,924 AU
Excentricita: 1,158
Sklon dráhy: 70,8°
Délka vzestupného uzlu: 251,1°
Argument perihelia: 208,0°
Střední anomálie: -1,2°
Epocha: 2024 DEC 03 03:58:14
orbit plot

NeinteraktivnĂ­ graf | InteraktivnĂ­ graf

position vs time
speed and acceleration