🇳🇴 🇬🇧 🇩🇪 🇨🇿 🇫🇮

Meteor Førden yllä 2024-12-03 03:58:14 UTC

KML-tiedosto  |  Interaktiivinen kartta

Kartta näyttää meteorin suuntahavainnot. Vaaleammat viivat näyttävät suunnat havaintoasemilta meteorin ilmestyessä, ja tummemmat viivat näyttävät, missä se viimeksi nähtiin. Sininen nuoli näyttää meteorin näkyvän lennon.

static map
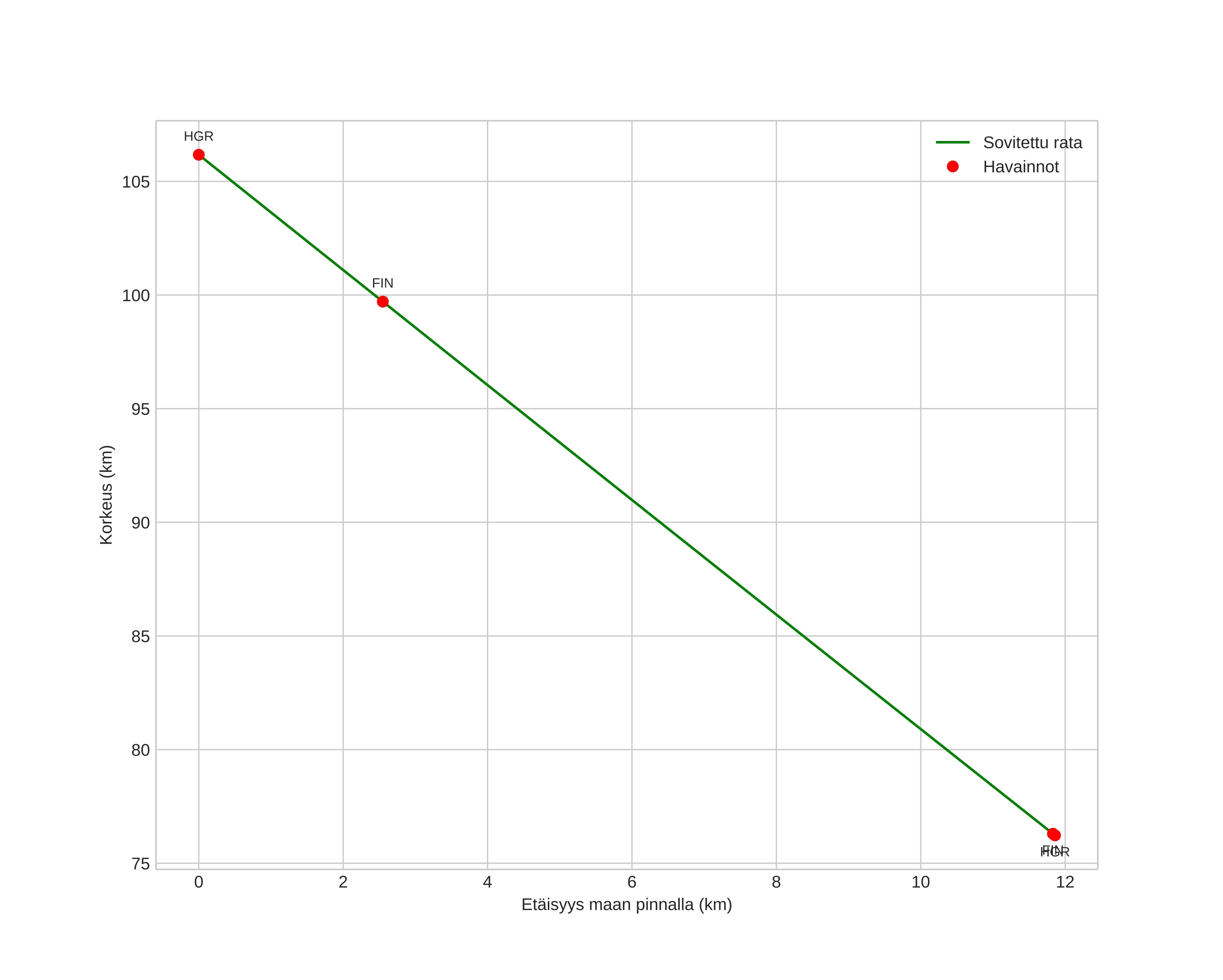
height profile
Meteorin ilmakehärata:
Alkukorkeus: 106,8 km
Loppukorkeus: 76,3 km
Alkupiste: 61,538N 5,978E
Loppupiste: 61,448N 5,853E
Suunta: 213,7°
Kallistuskulma: 68,5°
Tulonopeus: 46,2 km/s
Radiantin R,A,: 12:28 (187,2°)
Radiantin Dekl,: 74,7°
Meteoriparvi: Sporadinen
Meteoroidin rataelementit:
Perihelietäisyys: 0,924 AU
Eksentrisyys: 1,158
Inklinaatio: 70,8°
Nousevan solmun pituus: 251,1°
Perihelin argumentti: 208,0°
Keskianomalia: -1,2°
Epookki: 2024 DEC 03 03:58:14
orbit plot

Ei-interaktiivinen kuvaaja | Interaktiivinen kuvaaja

position vs time
speed and acceleration