🇳🇴 🇬🇧 🇩🇪 🇨🇿 🇫🇮

Meteor, poloha: Førde 2024-12-03 03:58:15 UTC

Soubor KML

Mapa zobrazuje dráhy meteoru. Světlejší čáry ukazují směry od pozorovacích stanic při objevení se meteoru a tmavší čáry, kde byl naposledy viděn. Modrá šipka značí viditelnou dráhu meteoru.

static map
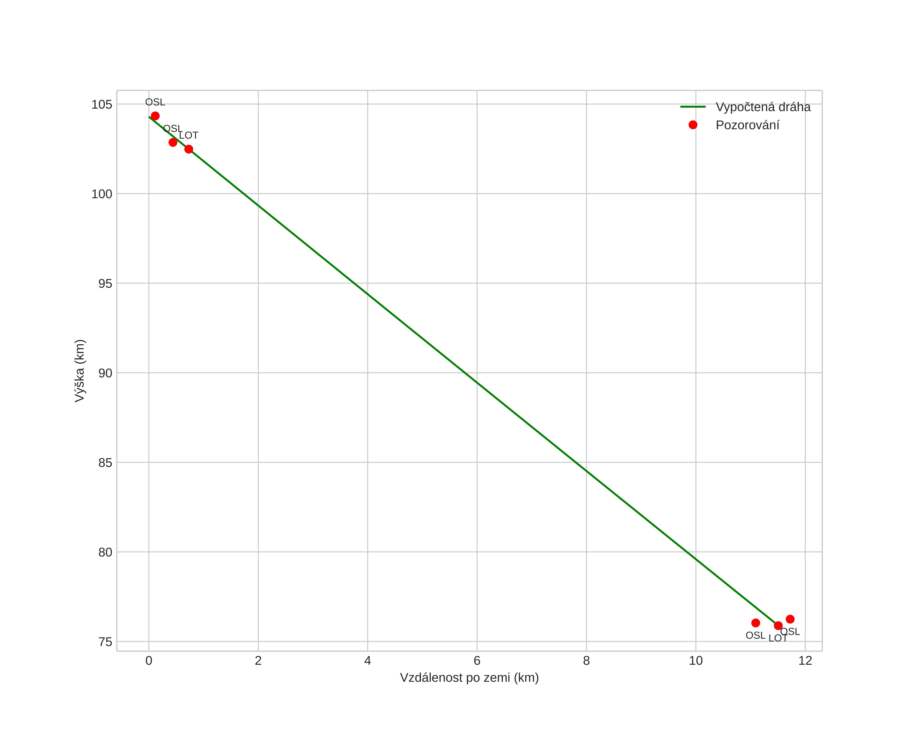
height profile
Atmosférická dráha meteoru:
Počáteční výška: 104,3 km
Konečná výška: 75,9 km
Počáteční poloha: 61,526N 6,008E
Konečná poloha: 61,444N 5,876E
Směr: 217,4°
Sklon: 67,9°
VstupnĂ­ rychlost: 44,9 km/s
Rektascenze radiantu: 12:39 (189,8°)
Deklinace radiantu: 73,4°
MeteorickĂ˝ roj: sporadickĂ˝
Elementy dráhy meteoroidu:
Vzdálenost v periheliu: 0,931 AU
Excentricita: 1,025
Sklon dráhy: 70,4°
Délka vzestupného uzlu: 251,1°
Argument perihelia: 207,2°
Střední anomálie: -0,1°
Epocha: 2024 DEC 03 03:58:15
orbit plot

NeinteraktivnĂ­ graf

position vs time
speed and acceleration

Voksenlia (OSL) cam1


gnomonic
Videa
• Gnomonická
• Gnomonická se souřadnicemi
• Původní
• Původní se souřadnicemi
Obrázky
• Gnomonická
• Gnomonická se souřadnicemi
• Původní
• Původní se souřadnicemi
Textové soubory
• Detekce
• Pozorování
• Protokol
Jasnost