🇳🇴 🇬🇧 🇩🇪 🇨🇿 🇫🇮

Meteor Førden yllä 2024-12-03 03:58:15 UTC

KML-tiedosto  |  Interaktiivinen kartta

Kartta näyttää meteorin suuntahavainnot. Vaaleammat viivat näyttävät suunnat havaintoasemilta meteorin ilmestyessä, ja tummemmat viivat näyttävät, missä se viimeksi nähtiin. Sininen nuoli näyttää meteorin näkyvän lennon.

static map
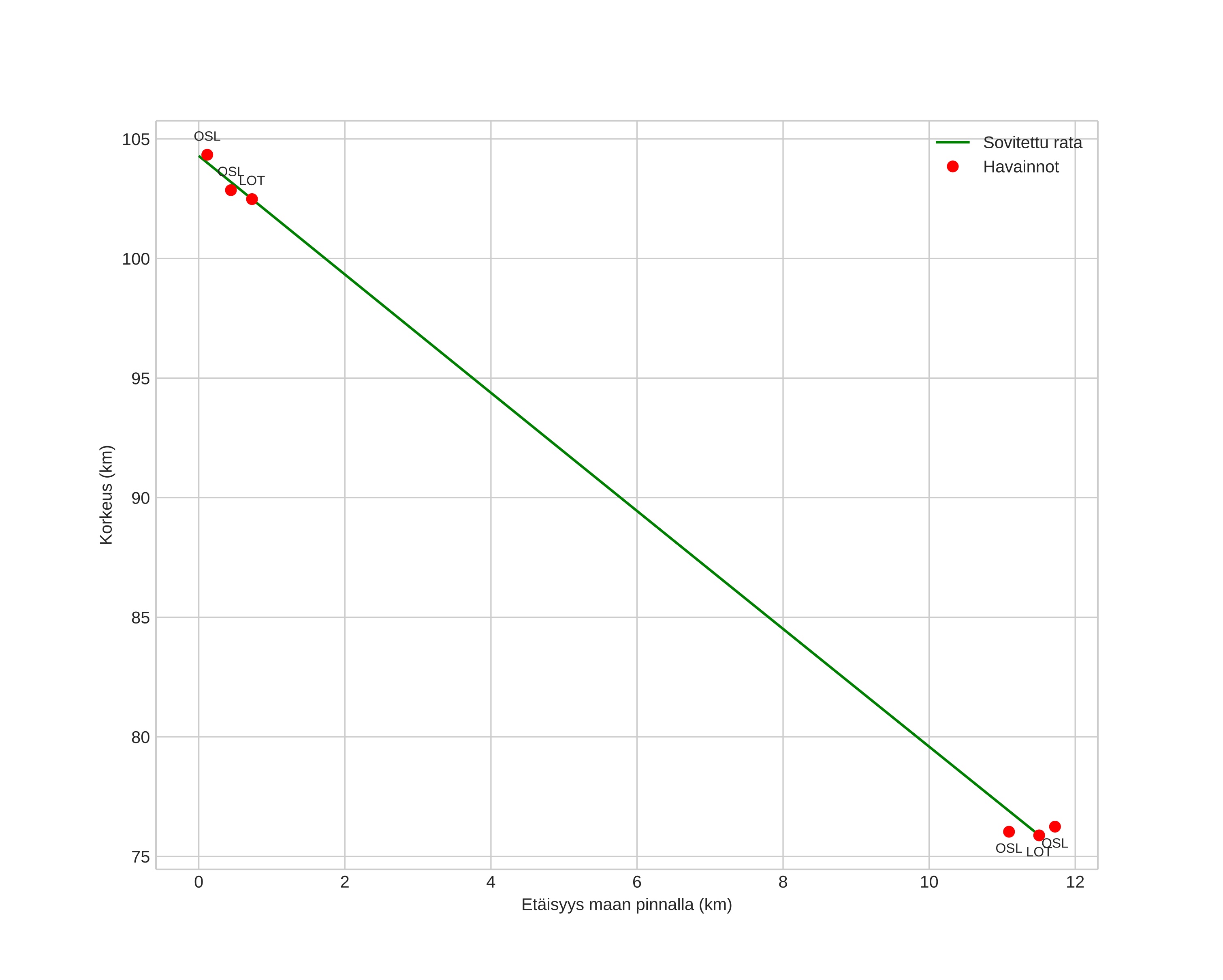
height profile
Meteorin ilmakehärata:
Alkukorkeus: 104,8 km
Loppukorkeus: 76,0 km
Alkupiste: 61,528N 6,003E
Loppupiste: 61,445N 5,866E
Suunta: 218,2°
Kallistuskulma: 67,8°
Tulonopeus: 44,9 km/s
Radiantin R,A,: 12:40 (190,2°)
Radiantin Dekl,: 73,1°
Meteoriparvi: Sporadinen
Meteoroidin rataelementit:
Perihelietäisyys: 0,932 AU
Eksentrisyys: 1,015
Inklinaatio: 70,5°
Nousevan solmun pituus: 251,1°
Perihelin argumentti: 206,8°
Keskianomalia: -0,0°
Epookki: 2024 DEC 03 03:58:15
orbit plot

Ei-interaktiivinen kuvaaja | Interaktiivinen kuvaaja

position vs time
speed and acceleration

Voksenlia (OSL) cam1


gnomonic
Videot:
• Gnomoninen
• Gnomoninen koordinaateilla
• Alkuperäinen
• Alkuperäinen koordinaateilla
Kuvat:
• Gnomoninen
• Gnomoninen koordinaateilla
• Alkuperäinen
• Alkuperäinen koordinaateilla
Tekstitiedostot:
• Havaintoraportti
• Observaatio
• Loki
Kirkkaus