🇳🇴 🇬🇧 🇩🇪 🇨🇿 🇫🇮

Meteor, poloha: Ekshärad 2024-12-03 04:04:20 UTC

Soubor KML  |  InteraktivnĂ­ mapa

Mapa zobrazuje dráhy meteoru. Světlejší čáry ukazují směry od pozorovacích stanic při objevení se meteoru a tmavší čáry, kde byl naposledy viděn. Modrá šipka značí viditelnou dráhu meteoru.

static map
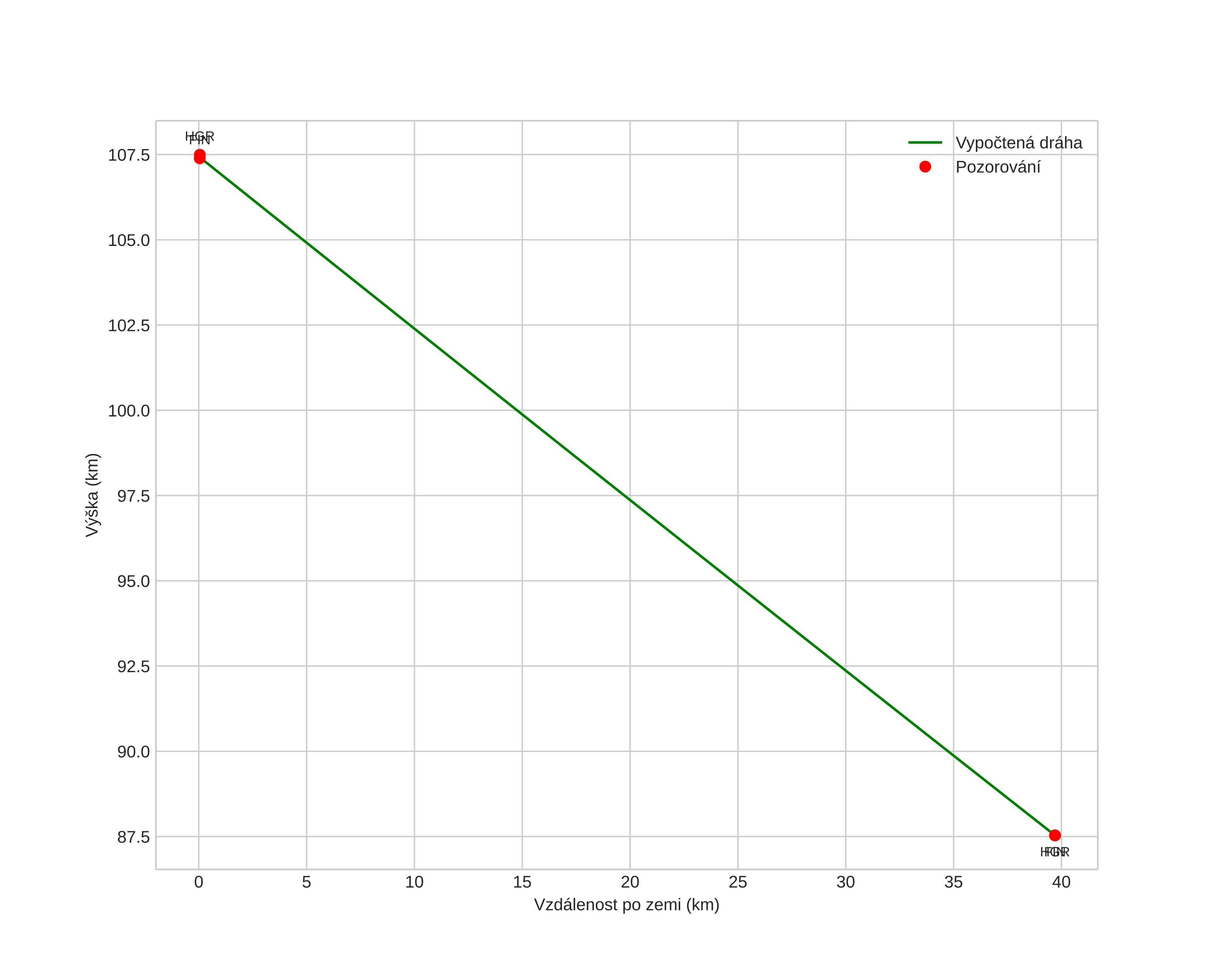
height profile
Atmosférická dráha meteoru:
Počáteční výška: 108,3 km
Konečná výška: 87,0 km
Počáteční poloha: 60,082N 13,264E
Konečná poloha: 60,377N 13,677E
Směr: 34,7°
Sklon: 28,1°
VstupnĂ­ rychlost: 55,1 km/s
Rektascenze radiantu: 07:43 (115,9°)
Deklinace radiantu: 2,0°
MeteorickĂ˝ roj: Sigma Hydridy
Elementy dráhy meteoroidu:
Vzdálenost v periheliu: 0,199 AU
Excentricita: 0,961
Sklon dráhy: 111,1°
Délka vzestupného uzlu: 71,1°
Argument perihelia: 128,9°
Střední anomálie: 357,0°
Epocha: 2024 DEC 03 04:04:20
orbit plot

NeinteraktivnĂ­ graf | InteraktivnĂ­ graf

position vs time
speed and acceleration