🇳🇴 🇬🇧 🇩🇪 🇨🇿 🇫🇮

Meteor über Ekshärad 2024-12-03 04:04:20 UTC

KML-Datei  |  Interaktive Karte

Die Karte zeigt die Peilungen für den Meteor. Die helleren Linien zeigen die Richtungen von den Beobachtungsorten beim Erscheinen des Meteors, und die dunkleren Linien, wo er zuletzt gesehen wurde. Der blaue Pfeil zeigt die sichtbare Bahn des Meteors.

static map
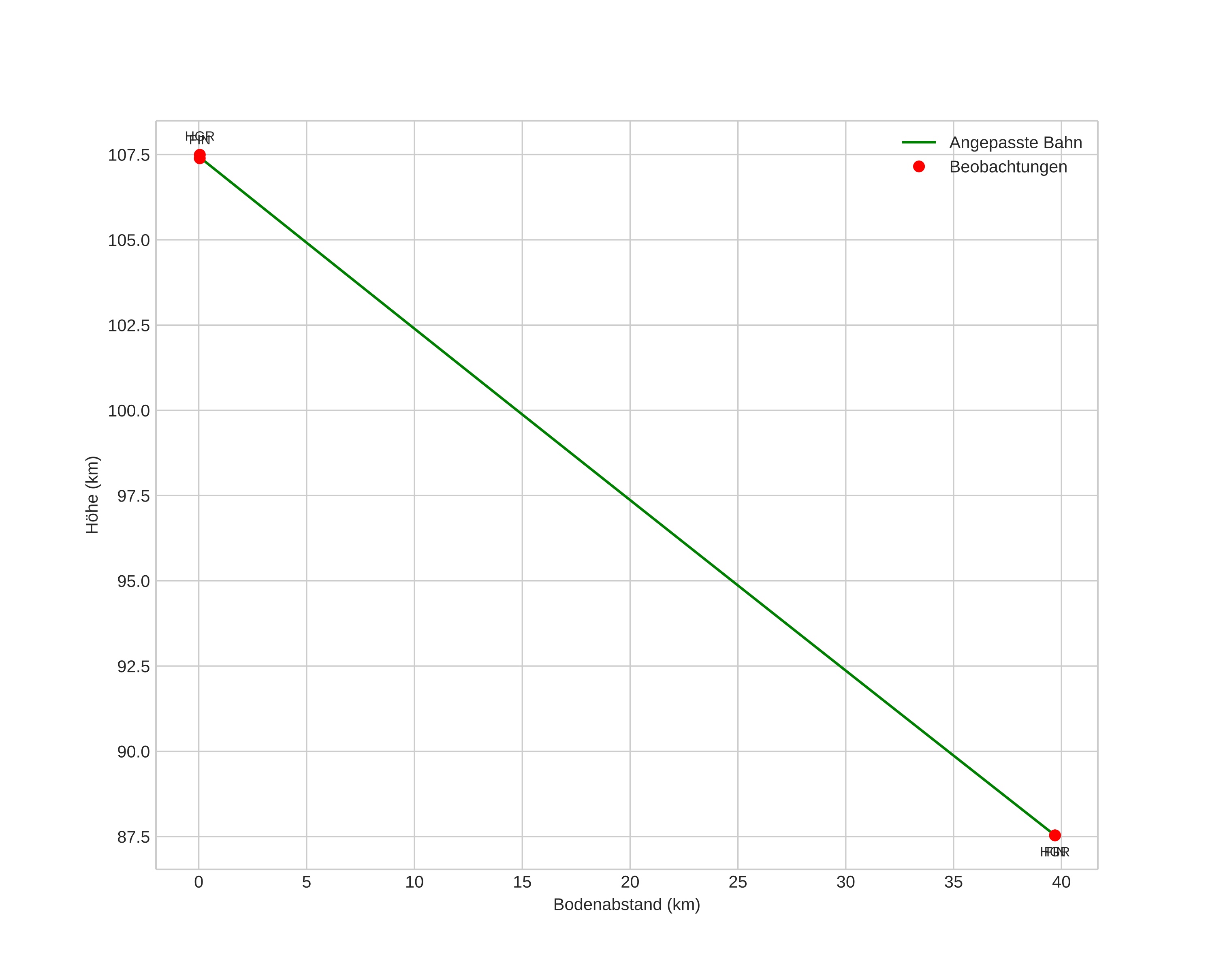
height profile
Atmosphärische Bahn des Meteors:
Anfangshöhe: 108,3 km
Endhöhe: 87,0 km
Startposition: 60,082N 13,264E
Endposition: 60,377N 13,677E
Richtung: 34,7°
Neigungswinkel: 28,1°
Eintrittsgeschwindigkeit: 55,1 km/s
Rektaszension des Radianten: 07:43 (115,9°)
Deklination des Radianten: 2,0°
Meteorstrom: Sigma-Hydriden
Bahnelemente des Meteoroiden:
Periheldistanz: 0,199 AU
Exzentrizität: 0,961
Inklination: 111,1°
Länge des aufsteigenden Knotens: 71,1°
Argument des Perihels: 128,9°
Mittlere Anomalie: 357,0°
Epoche: 2024 DEC 03 04:04:20
orbit plot

Nicht-interaktives Diagramm | Interaktives Diagramm

position vs time
speed and acceleration