🇳🇴 🇬🇧 🇩🇪 🇨🇿 🇫🇮

Meteor, poloha: Fagersta 2024-12-03 04:07:48 UTC

Soubor KML  |  InteraktivnĂ­ mapa

Mapa zobrazuje dráhy meteoru. Světlejší čáry ukazují směry od pozorovacích stanic při objevení se meteoru a tmavší čáry, kde byl naposledy viděn. Modrá šipka značí viditelnou dráhu meteoru.

static map
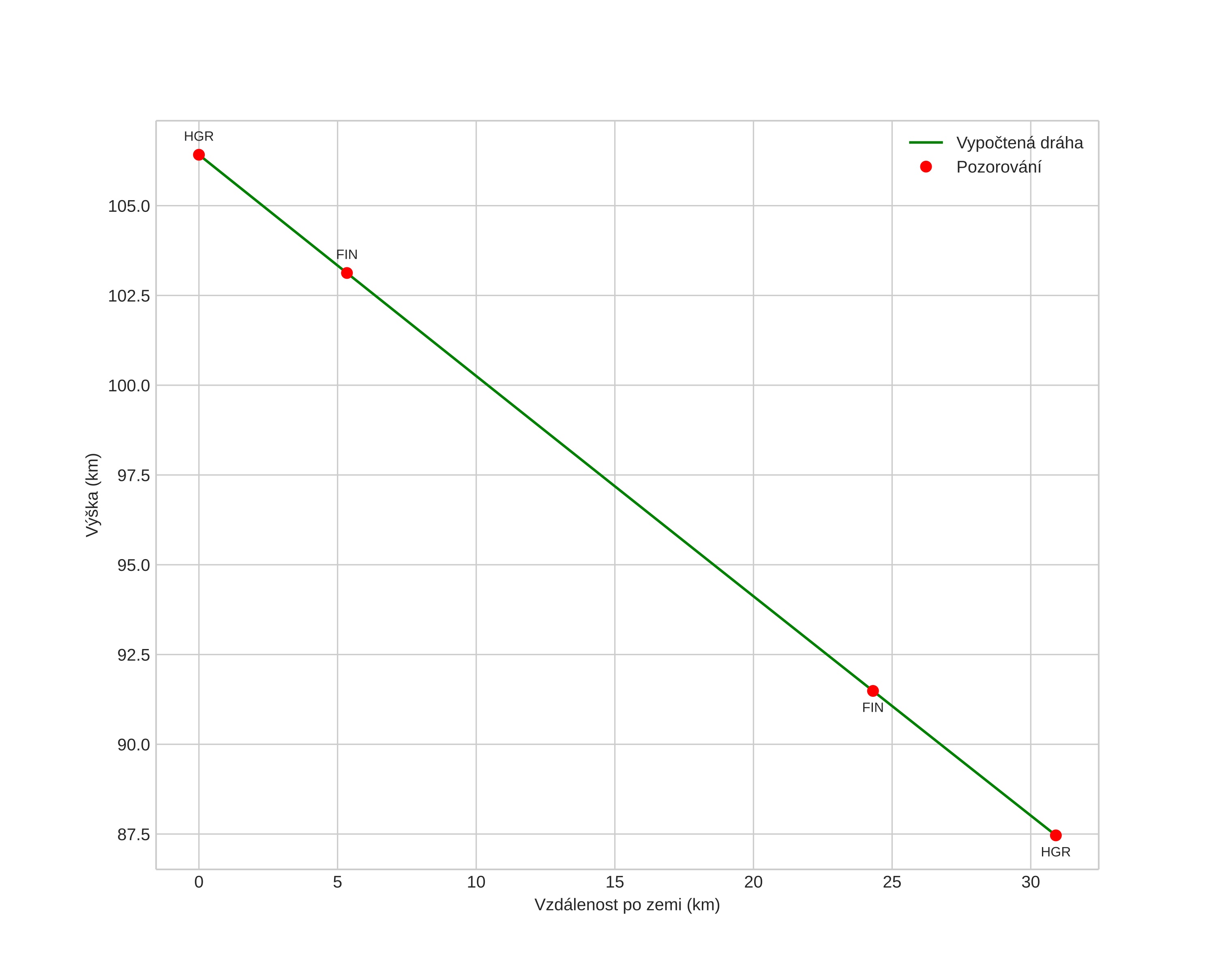
height profile
Atmosférická dráha meteoru:
Počáteční výška: 105,2 km
Konečná výška: 88,0 km
Počáteční poloha: 59,807N 15,303E
Konečná poloha: 60,029N 15,668E
Směr: 39,3°
Sklon: 28,3°
VstupnĂ­ rychlost: 73,0 km/s
Rektascenze radiantu: 07:40 (115,1°)
Deklinace radiantu: 3,5°
MeteorickĂ˝ roj: sporadickĂ˝
Elementy dráhy meteoroidu:
Vzdálenost v periheliu: 0,356 AU
Excentricita: 1,565
Sklon dráhy: 130,4°
Délka vzestupného uzlu: 71,1°
Argument perihelia: 92,7°
Střední anomálie: -54,7°
Epocha: 2024 DEC 03 04:07:48
orbit plot

NeinteraktivnĂ­ graf | InteraktivnĂ­ graf

position vs time
speed and acceleration

Finnskogen (FIN) cam3


gnomonic
Videa
• Gnomonická
• Gnomonická se souřadnicemi
• Původní
• Původní se souřadnicemi
Obrázky
• Gnomonická
• Gnomonická se souřadnicemi
• Původní
• Původní se souřadnicemi
Textové soubory
• Detekce
• Pozorování
• Protokol
Jasnost