🇳🇴 🇬🇧 🇩🇪 🇨🇿 🇫🇮

Meteor Fagerstan yllä 2024-12-03 04:07:48 UTC

KML-tiedosto  |  Interaktiivinen kartta

Kartta näyttää meteorin suuntahavainnot. Vaaleammat viivat näyttävät suunnat havaintoasemilta meteorin ilmestyessä, ja tummemmat viivat näyttävät, missä se viimeksi nähtiin. Sininen nuoli näyttää meteorin näkyvän lennon.

static map
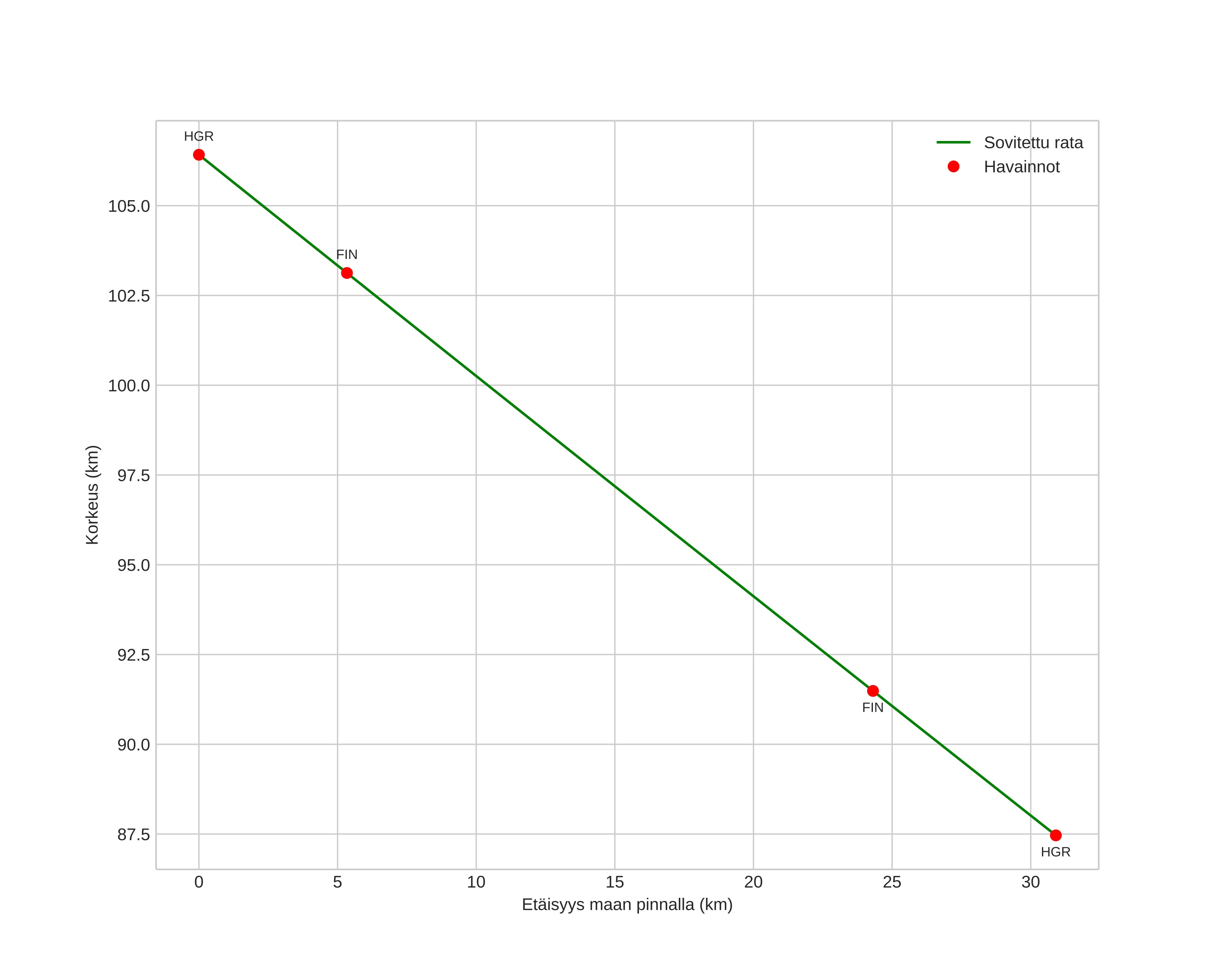
height profile
Meteorin ilmakehärata:
Alkukorkeus: 105,2 km
Loppukorkeus: 88,0 km
Alkupiste: 59,807N 15,303E
Loppupiste: 60,029N 15,668E
Suunta: 39,3°
Kallistuskulma: 28,3°
Tulonopeus: 73,0 km/s
Radiantin R,A,: 07:40 (115,1°)
Radiantin Dekl,: 3,5°
Meteoriparvi: Sporadinen
Meteoroidin rataelementit:
Perihelietäisyys: 0,356 AU
Eksentrisyys: 1,565
Inklinaatio: 130,4°
Nousevan solmun pituus: 71,1°
Perihelin argumentti: 92,7°
Keskianomalia: -54,7°
Epookki: 2024 DEC 03 04:07:48
orbit plot

Ei-interaktiivinen kuvaaja | Interaktiivinen kuvaaja

position vs time
speed and acceleration

Finnskogen (FIN) cam3


gnomonic
Videot:
• Gnomoninen
• Gnomoninen koordinaateilla
• Alkuperäinen
• Alkuperäinen koordinaateilla
Kuvat:
• Gnomoninen
• Gnomoninen koordinaateilla
• Alkuperäinen
• Alkuperäinen koordinaateilla
Tekstitiedostot:
• Havaintoraportti
• Observaatio
• Loki
Kirkkaus