🇳🇴 🇬🇧 🇩🇪 🇨🇿 🇫🇮

Meteor, poloha: Svortland 2024-12-03 05:57:26 UTC

Soubor KML  |  InteraktivnĂ­ mapa

Mapa zobrazuje dráhy meteoru. Světlejší čáry ukazují směry od pozorovacích stanic při objevení se meteoru a tmavší čáry, kde byl naposledy viděn. Modrá šipka značí viditelnou dráhu meteoru.

static map
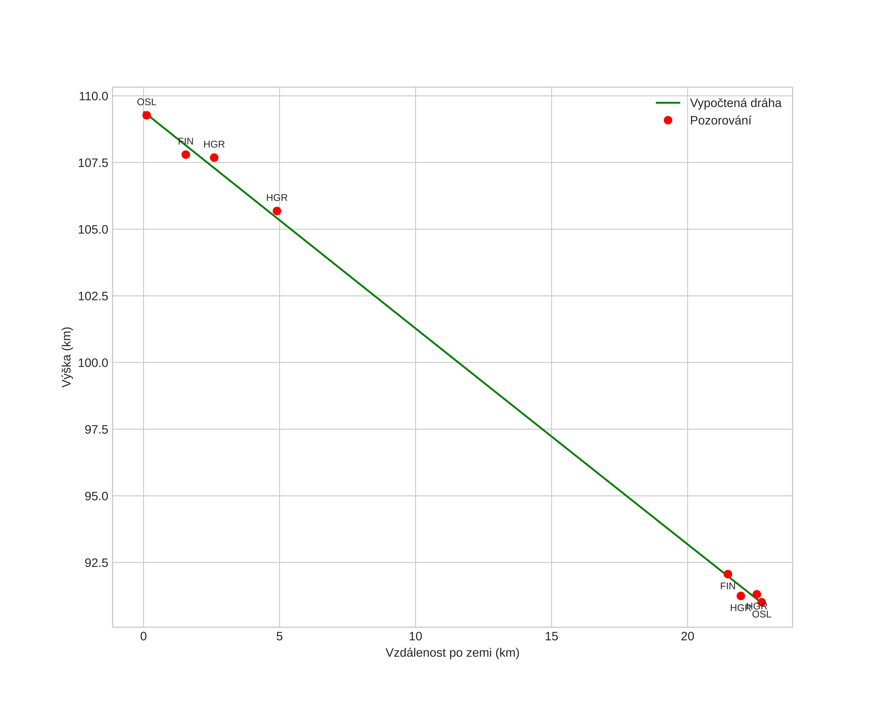
height profile
Atmosférická dráha meteoru:
Počáteční výška: 116,5 km
Konečná výška: 90,1 km
Počáteční poloha: 59,450N 4,768E
Konečná poloha: 59,684N 5,193E
Směr: 42,5°
Sklon: 36,7°
VstupnĂ­ rychlost: 54,3 km/s
Rektascenze radiantu: 08:48 (132,2°)
Deklinace radiantu: 11,8°
MeteorickĂ˝ roj: sporadickĂ˝
Elementy dráhy meteoroidu:
Vzdálenost v periheliu: 0,164 AU
Excentricita: 0,849
Sklon dráhy: 161,2°
Délka vzestupného uzlu: 71,2°
Argument perihelia: 144,5°
Střední anomálie: 324,9°
Epocha: 2024 DEC 03 05:57:26
orbit plot

NeinteraktivnĂ­ graf | InteraktivnĂ­ graf

position vs time
speed and acceleration

Hagar (HGR) cam5


gnomonic
Videa
• Gnomonická
• Gnomonická se souřadnicemi
• Původní
• Původní se souřadnicemi
Obrázky
• Gnomonická
• Gnomonická se souřadnicemi
• Původní
• Původní se souřadnicemi
Textové soubory
• Detekce
• Pozorování
• Protokol
Jasnost